Posledná aktualizácia :
27/01/2026
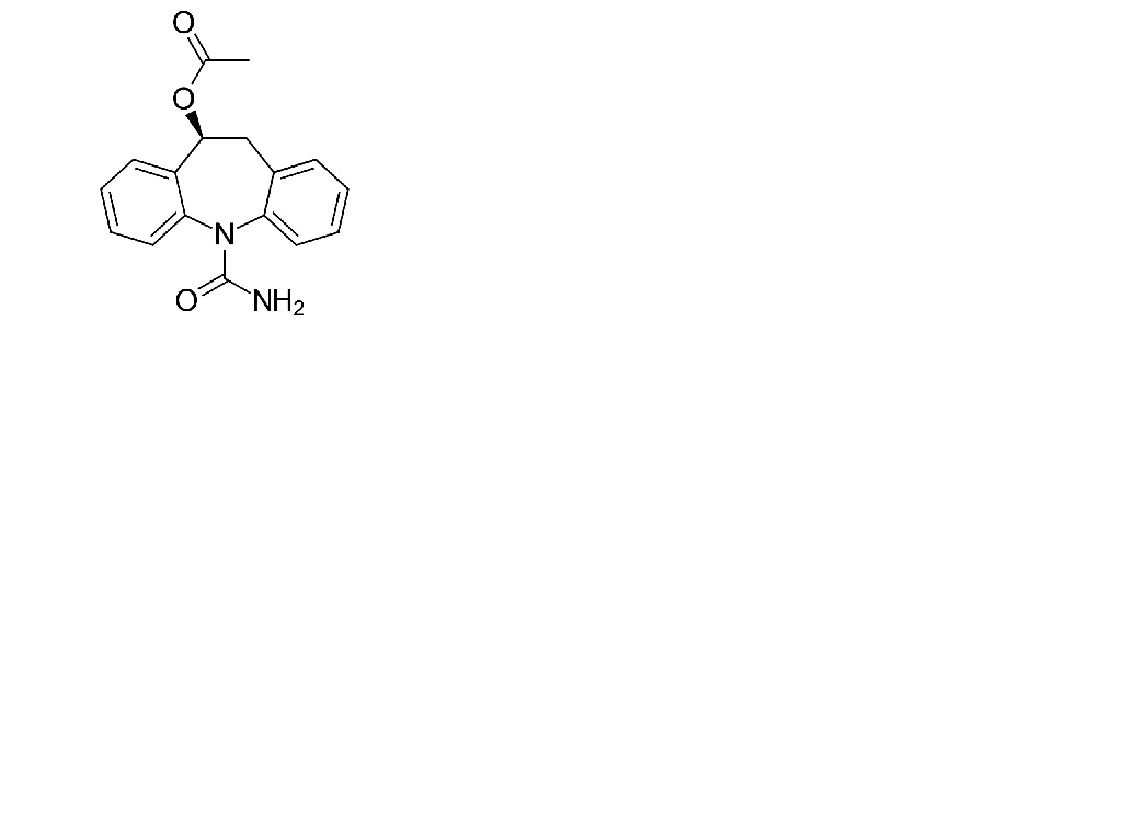
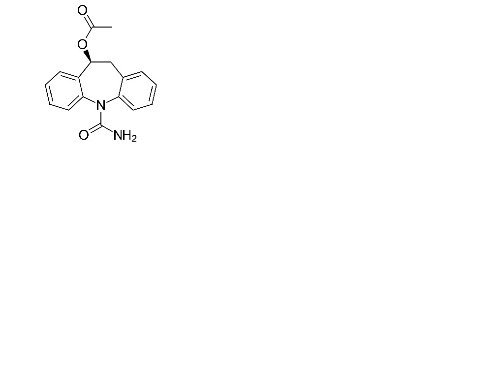
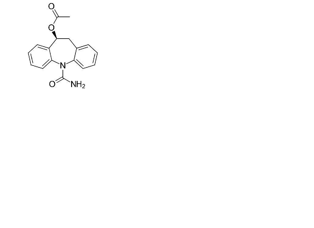
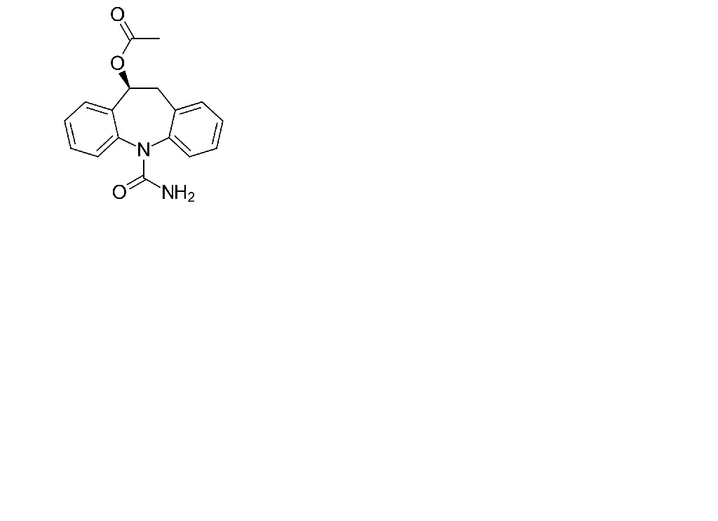
antiepileptikum   Eslicarbazepine acetate  
Perorálny roztok
Stabilita farmaceutických prípravkov Stabilita v zmesiach Faktory ovplyvňujúce stabilitu Kompatibility Odkazy na literatúru PDF
   Chemický vzorec  

Perorálny roztok

Faktory ovplyvňujúce stabilitu   Perorálny roztok   Faktory ovplyvňujúce stabilitu : Eslicarbazepine acetate        
žiadne údaje

  Mentions Légales