Poslední aktualizace :
27/01/2026
Priešepilepsinis vaistas   Eslicarbazepine acetate  
Geriamas tirpalas
Stabilumas farmacinių preparatų Mišinių stabilumas Stabilumą lemiantys veiksniai Suderinamumas Bibliografija pdf
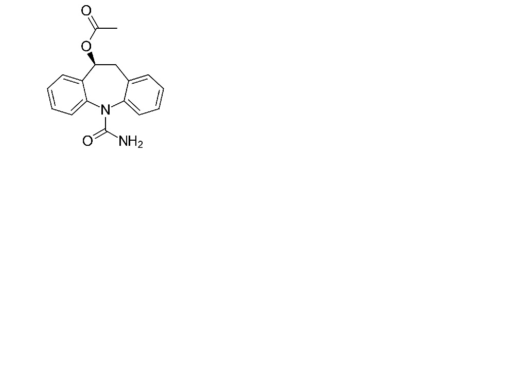
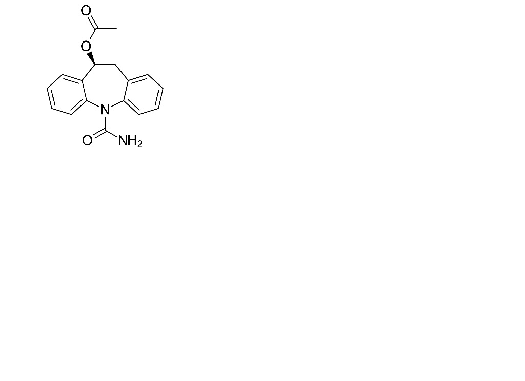
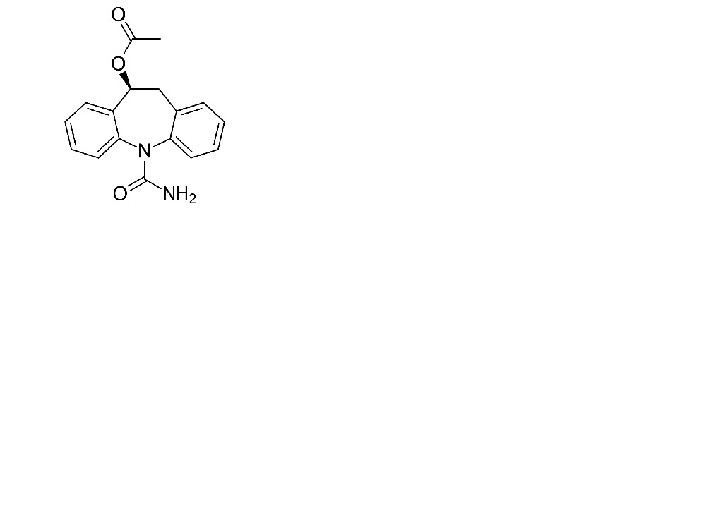
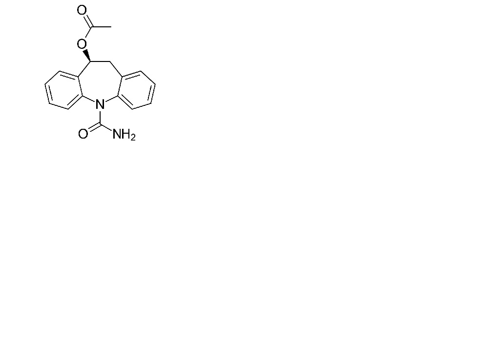
   Cheminė sandara  

Geriamas tirpalas

Stabilumą lemiantys veiksniai   Geriamas tirpalas   Stabilumą lemiantys veiksniai : Eslicarbazepine acetate        
Nėra duomenų

  Mentions Légales