آخر تحديث :
27/01/2026
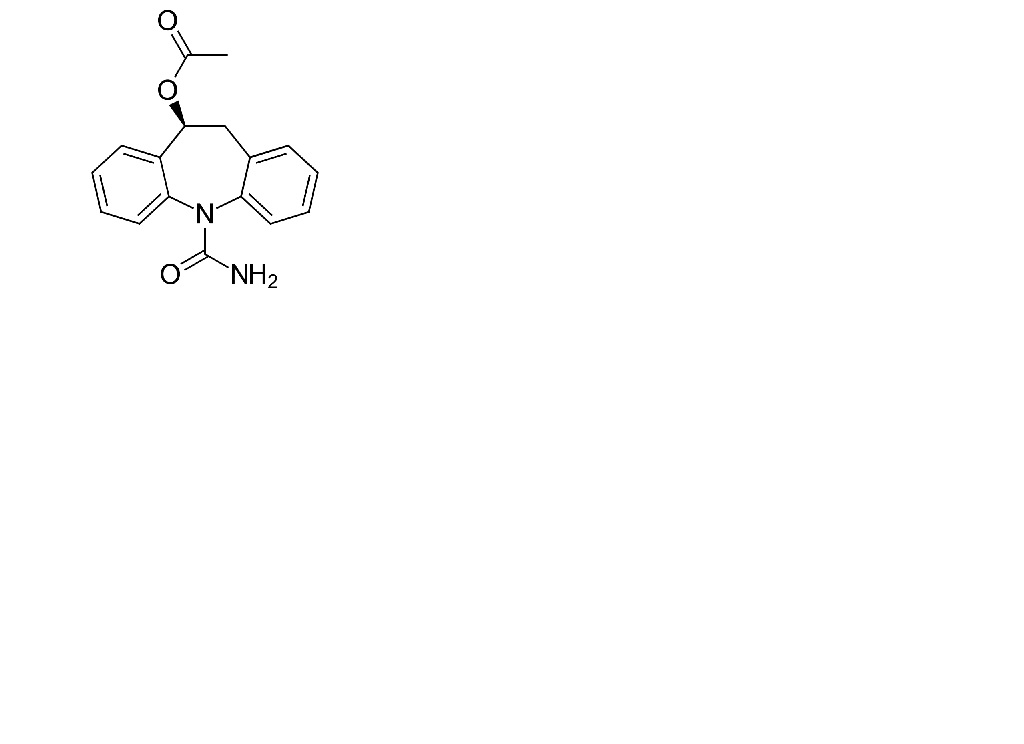
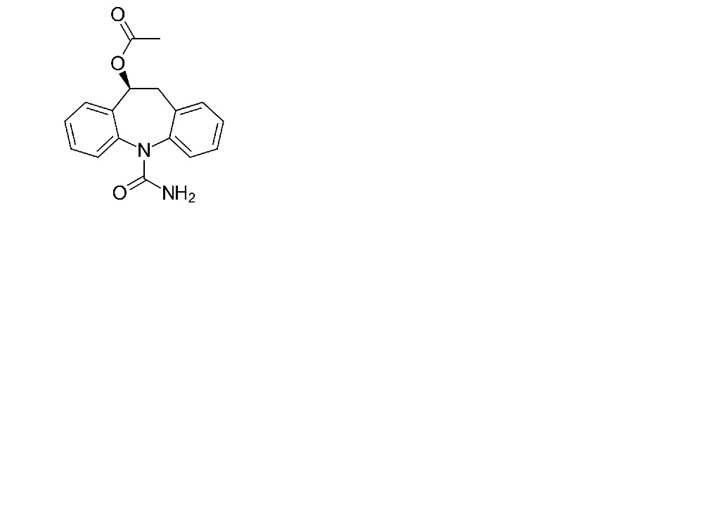
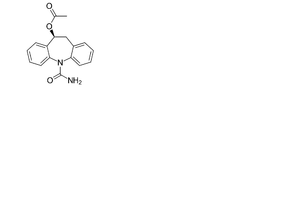
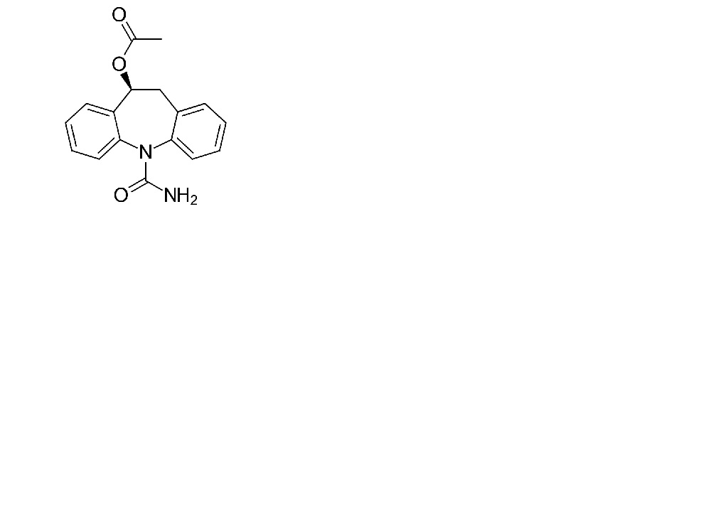
المضادة للصرع   Eslicarbazepine acetate  
عن طريق الفم
استقرار المستحضرات الصيدلانية استقرار مخاليط العوامل التي تؤثر على الاستقرار التوافق مراجع pdf
   التركيب الكيميائي  

عن طريق الفم

العوامل التي تؤثر على الاستقرار   عن طريق الفم     العوامل التي تؤثر على الاستقرار : Eslicarbazepine acetate        
لا توجد بيانات

  Mentions Légales