Zadnji put ažurirano :
27/01/2026
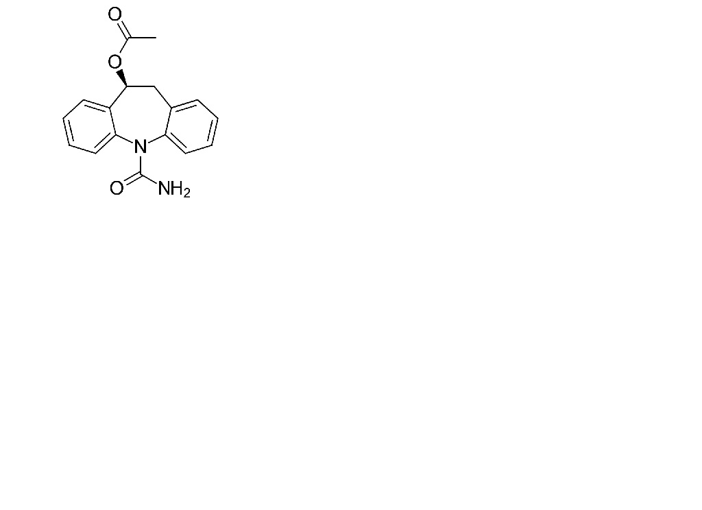
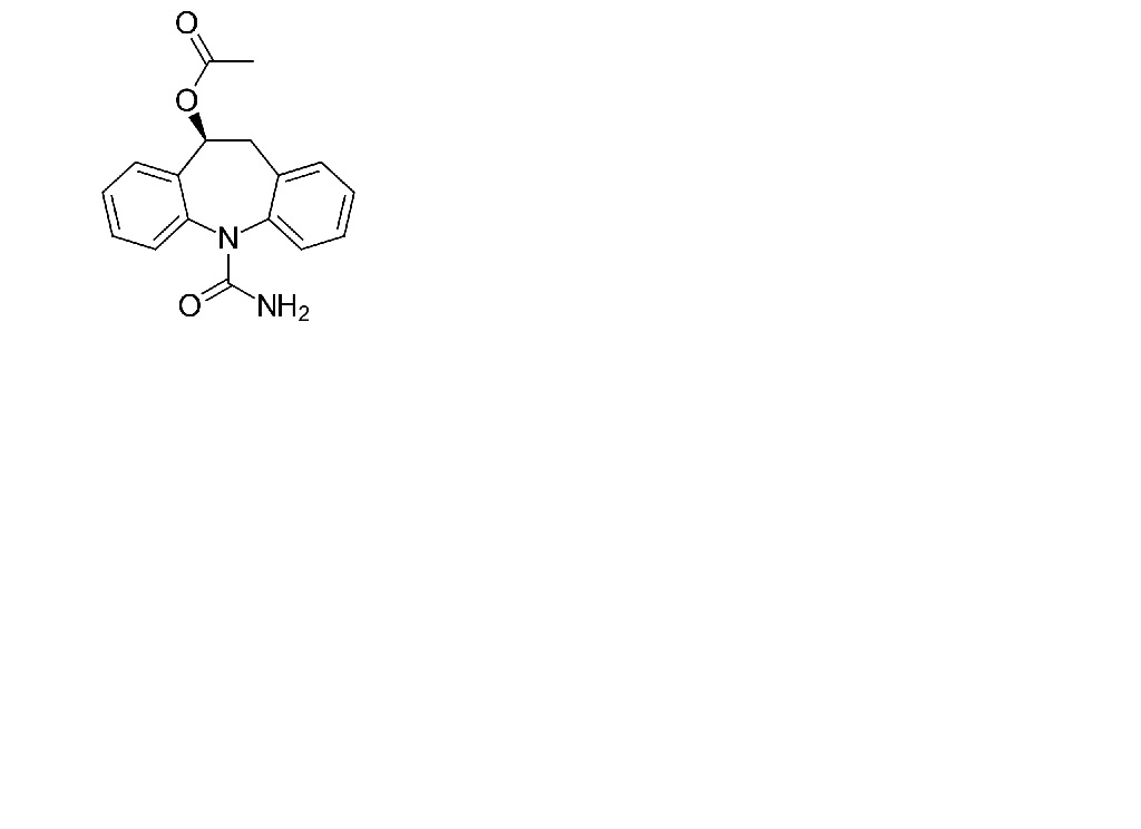
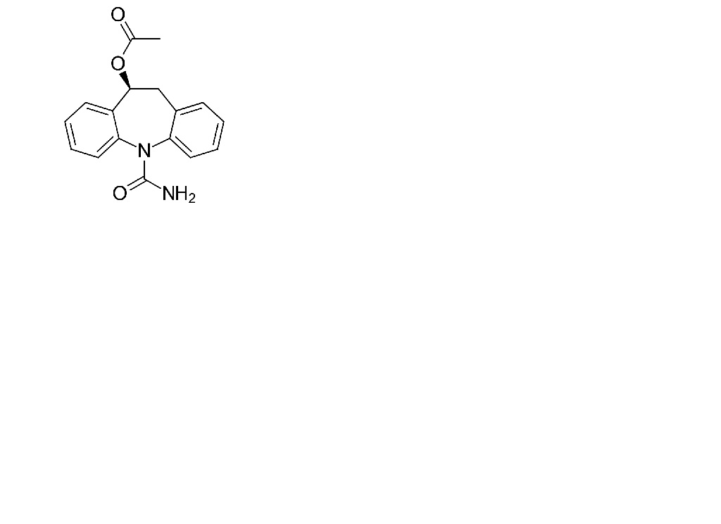
antiepileptik   Eslicarbazepine acetate  
oralna otopina
Stabilnost farmaceutskih pripravaka Stabilnost mješavine Stabilizacijski faktor Kompatibilnosti Bibliografija pdf
   Kemijska struktura  

oralna otopina

Stabilizacijski faktor   oralna otopina     Stabilizacijski faktor : Eslicarbazepine acetate        
bez podataka

  Mentions Légales