Poslední aktualizace :
27/01/2026
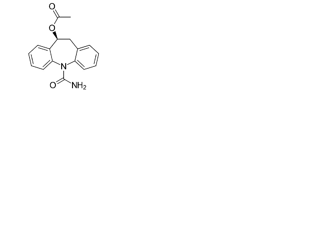
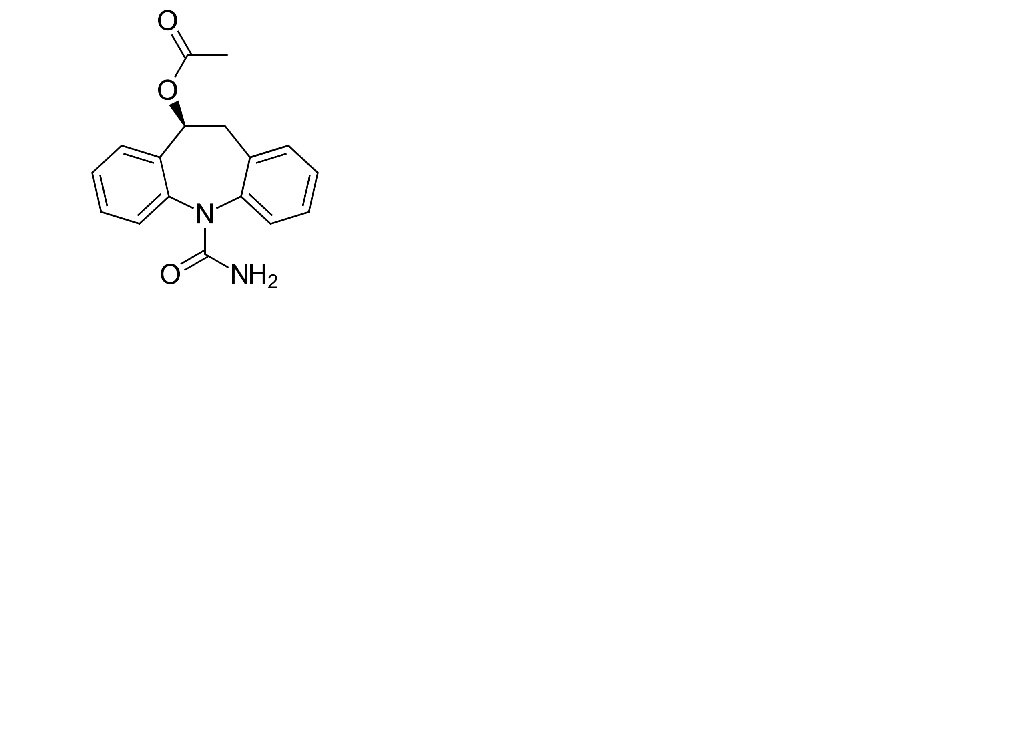
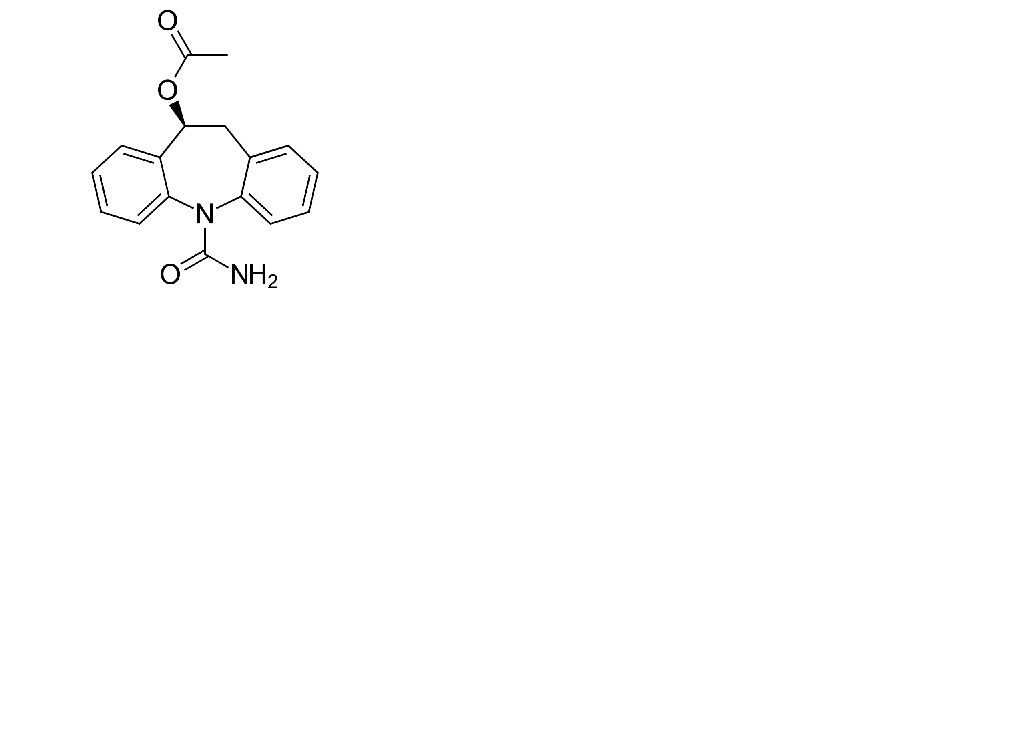
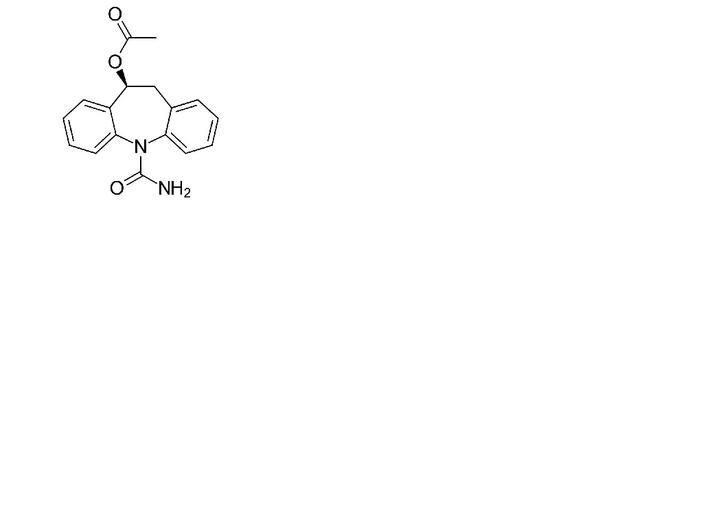
Antiepileptikum   Eslicarbazepine acetate  
Perorální roztok
Stabilita farmaceutických přípravků Stabilita směsí Faktory ovlivňující stabilitu Kompatibilita Odkazy pdf
   Chemický vzorec  

Perorální roztok

Faktory ovlivňující stabilitu   Perorální roztok   Faktory ovlivňující stabilitu : Eslicarbazepine acetate        
žádná data

  Mentions Légales