Siste oppdatering :
27/01/2026
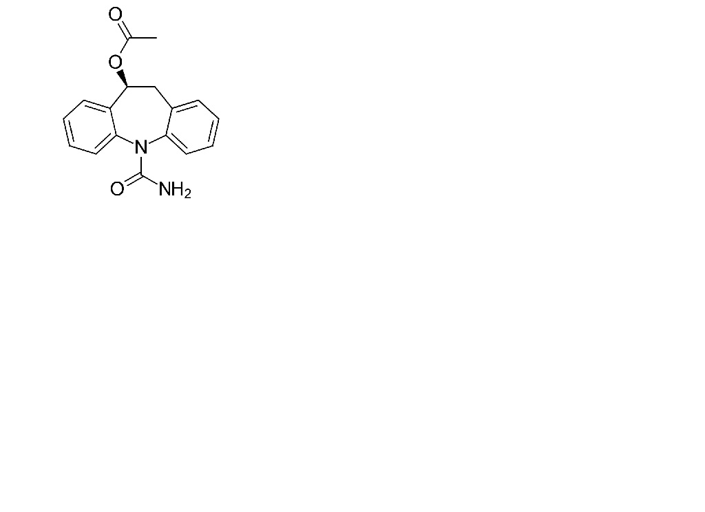
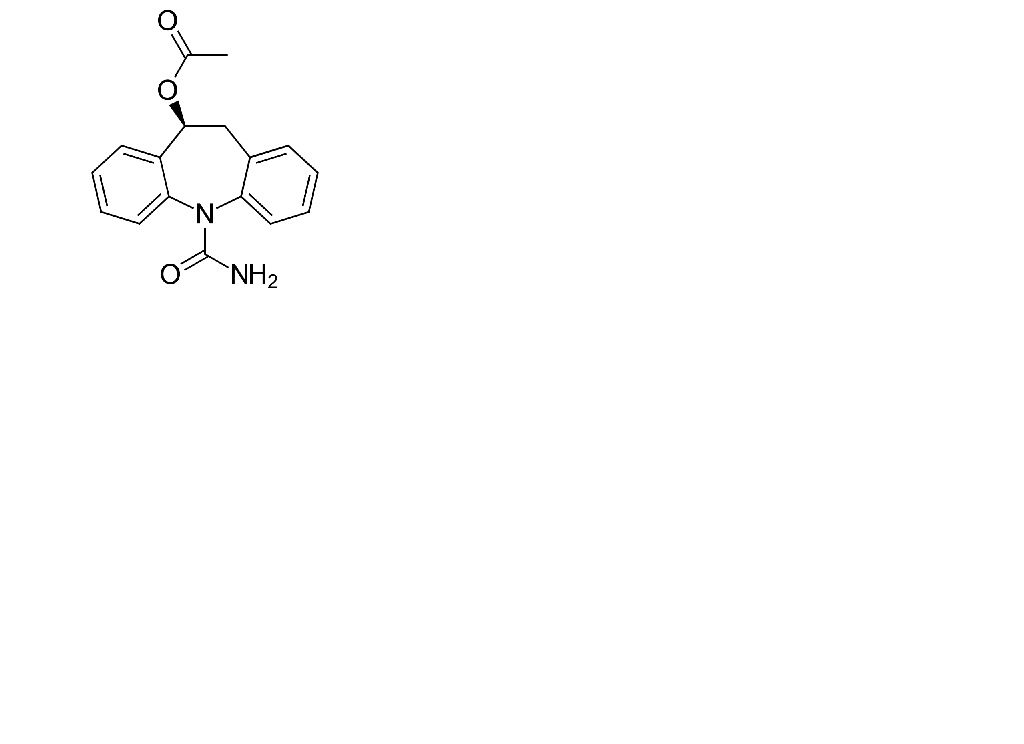
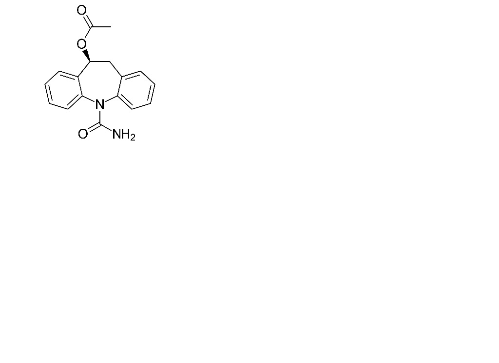
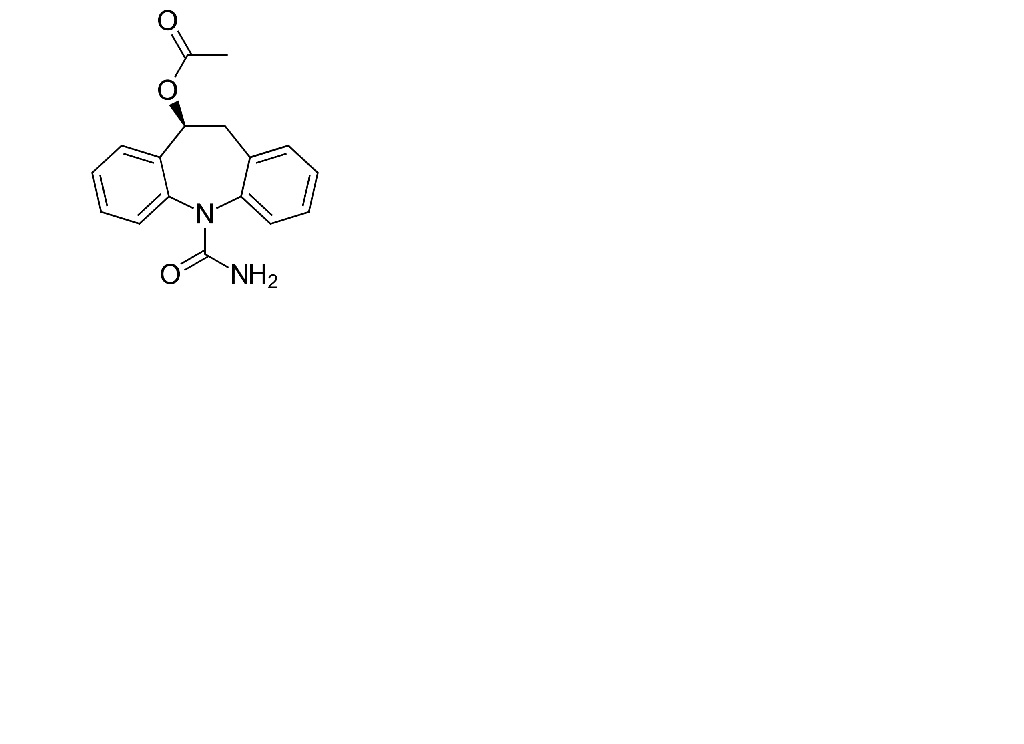
Antiepileptika   Eslicarbazepine acetate  
Mikstur
Stabilitet av farmasøytiske preparater Stabilitet i blandinger Faktorer som påvirker stabiliteten Kompatibilitet Referanser pdf
   Kjemisk struktur  

Mikstur

Faktorer som påvirker stabiliteten   Mikstur   Faktorer som påvirker stabiliteten : Eslicarbazepine acetate        
Ingen opplysninger

  Mentions Légales