Останнє оновлення :
27/04/2026
різноманітні   Baclofen  
Мазі
ін'єкція Розчин для перорального застосування
Стабільність фармацевтичних препаратів Стійкість сумішей Фактори, що впливають на стабільність Сумісність Список літератури pdf
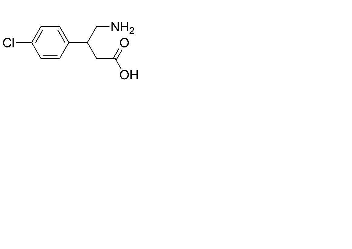
   Хімічна структура  

Мазі
Сумісність   Мазі   Сумісність : Baclofen              
7 / 5 000 Résultats de traduction Немає даних

  Mentions Légales