Zadnji put ažurirano :
27/04/2026
razno   Baclofen  
masti
injekcija oralna otopina
Stabilnost farmaceutskih pripravaka Stabilnost mješavine Stabilizacijski faktor Kompatibilnosti Bibliografija pdf
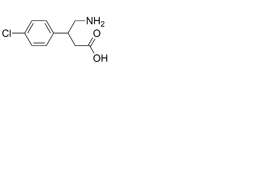
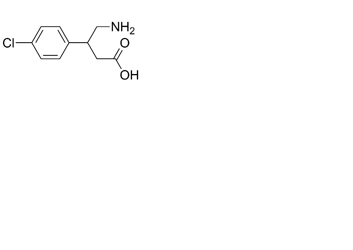
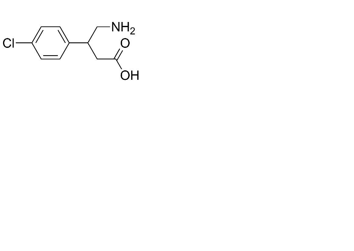
   Kemijska struktura  

masti
Kompatibilnosti   masti   Kompatibilnosti : Baclofen              
bez podataka

  Mentions Légales