最新更新 :
27/04/2026
其它   Baclofen  
药膏
口服剂 注射液
制剂的稳定性 混合物稳定性 影响稳定性的因素 兼容性 引用文献 PDF
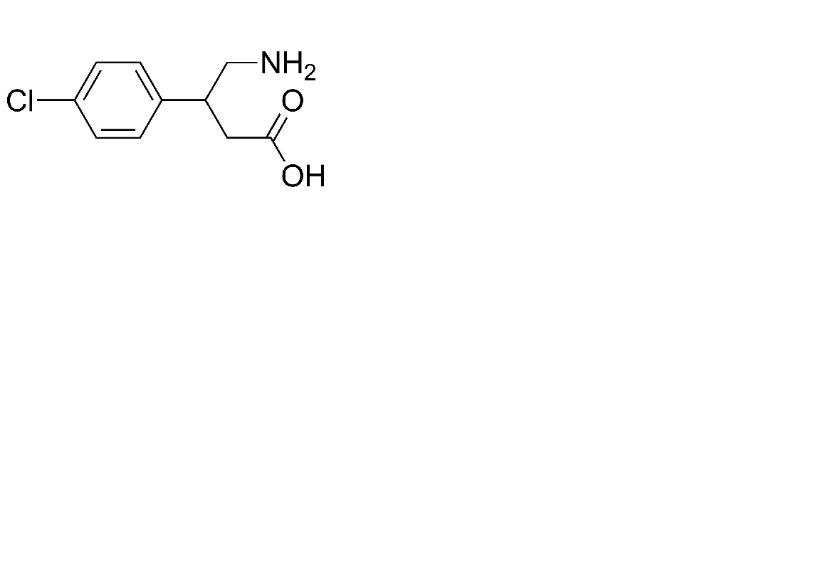
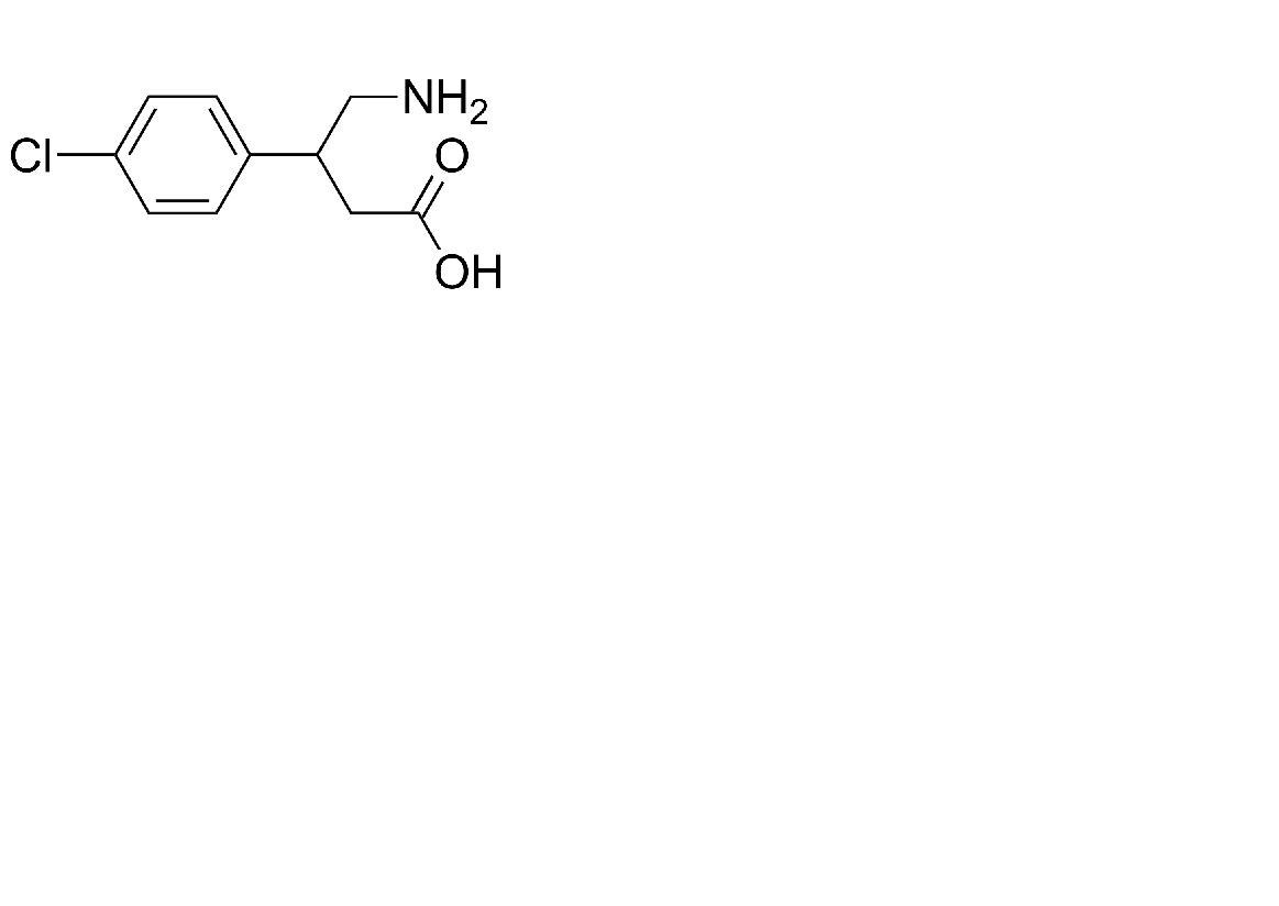
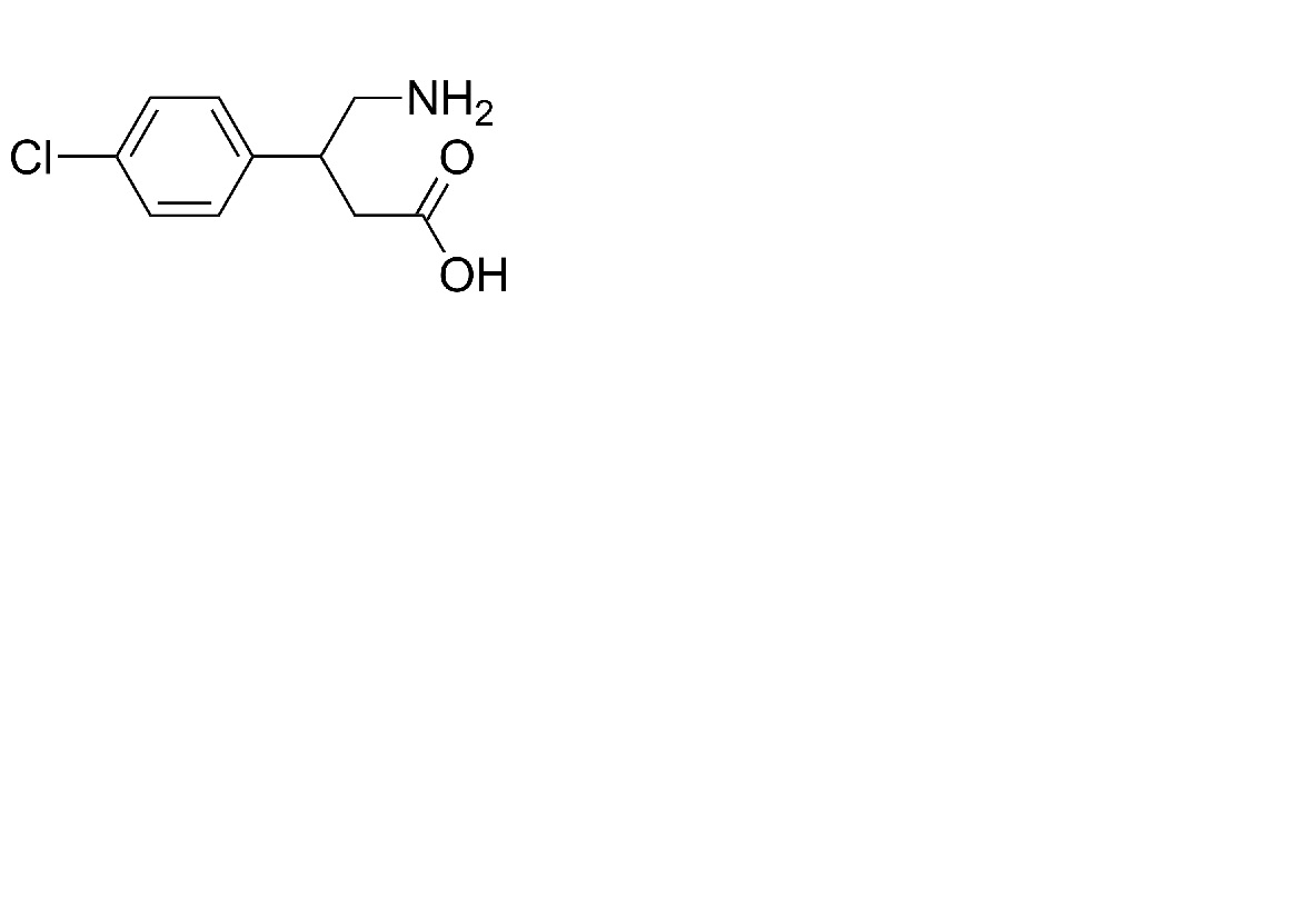
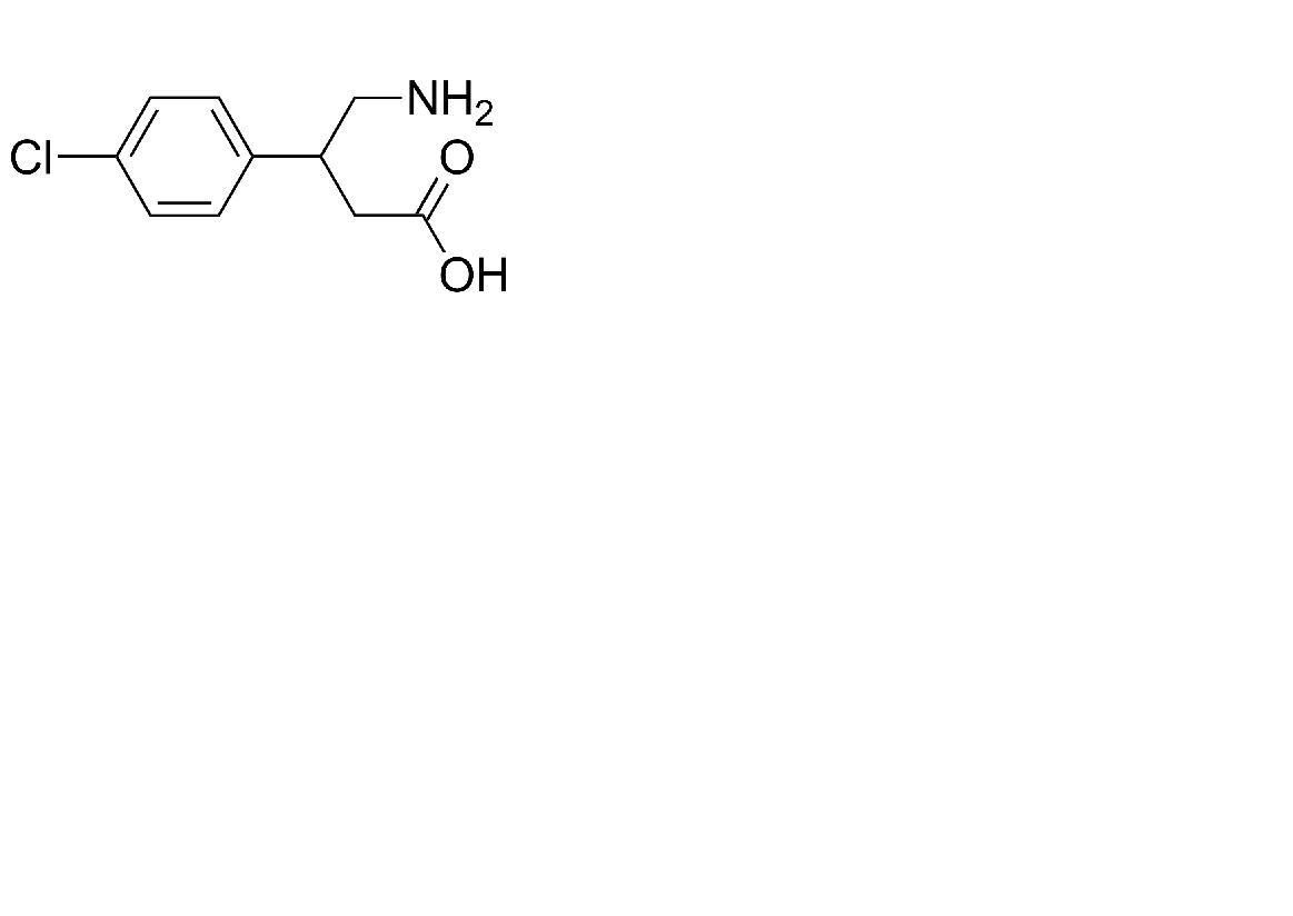
   化学式  

药膏
兼容性   药膏   兼容性 : Baclofen              
无数据

  Mentions Légales