Ostatnia aktualizacja :
27/04/2026
Różne   Baclofen  
Maści
Injekcje Roztwór doustny
Stabilność preparatów farmaceutycznych Trwałość w mieszaninie Czynnik wpływający na trwałość Zgodność Bibliografia pdf
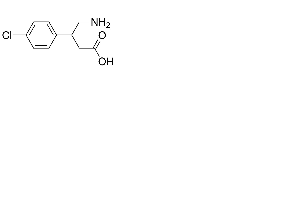
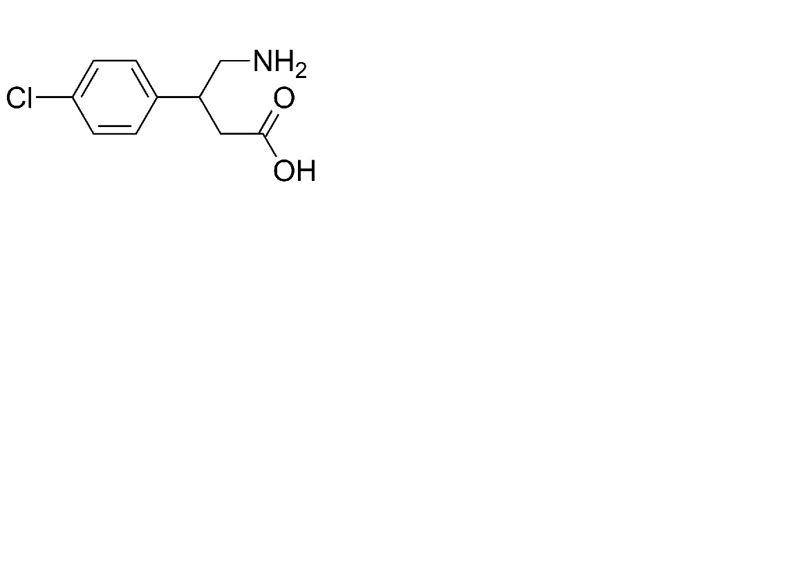
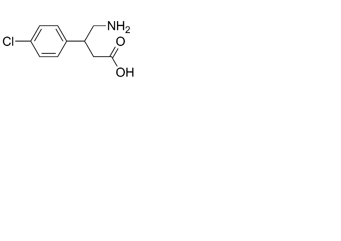
   Struktura chemiczna  

Maści
Zgodność   Maści   Zgodność : Baclofen              
Brak danych

  Mentions Légales