Poslední aktualizace :
27/04/2026
Různé   Baclofen  
Masti
injekce Perorální roztok
Stabilita farmaceutických přípravků Stabilita směsí Faktory ovlivňující stabilitu Kompatibilita Odkazy pdf
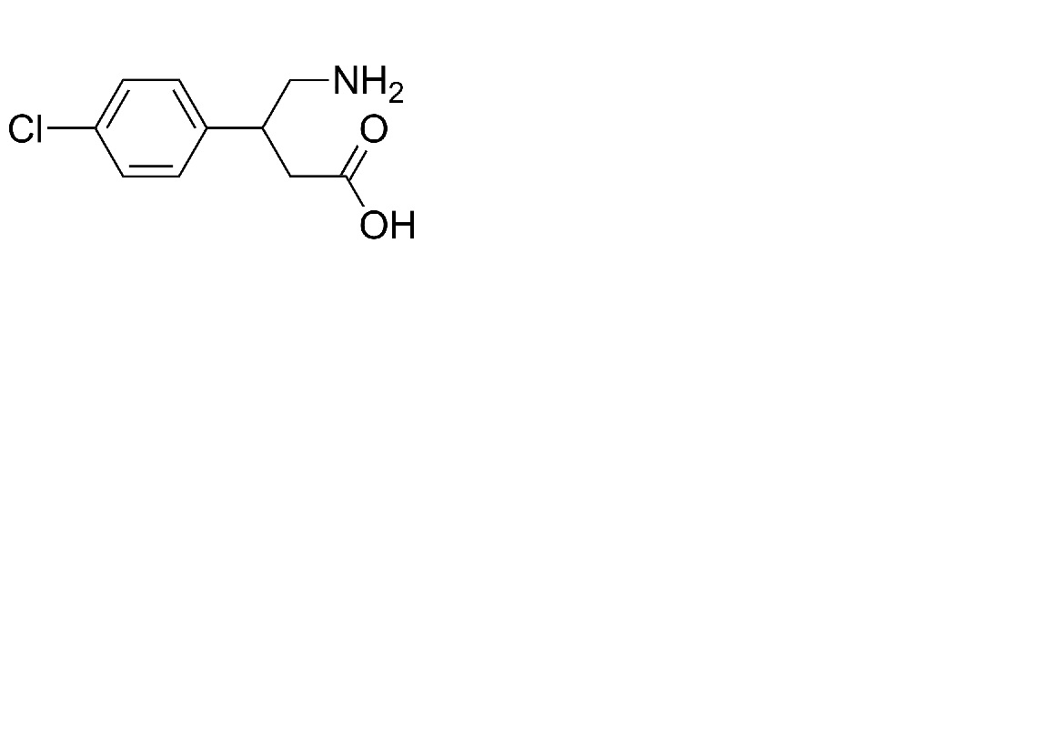
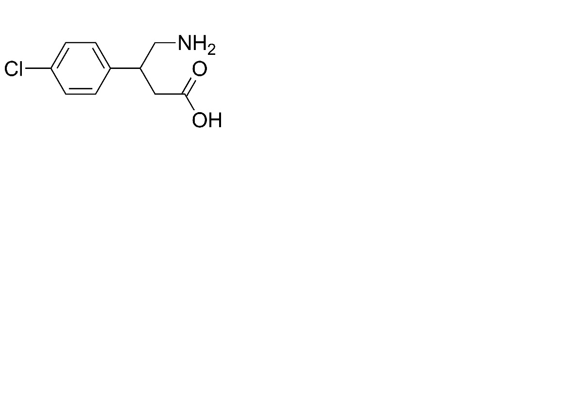
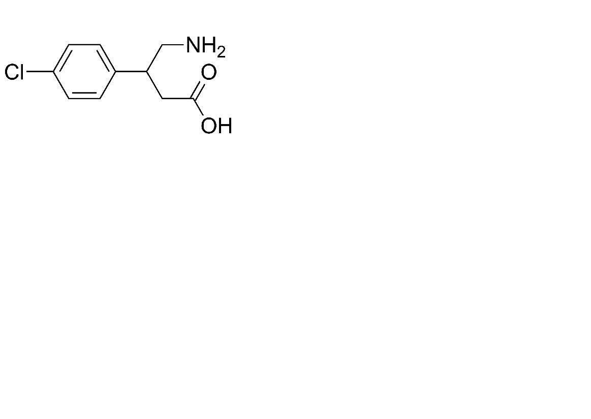
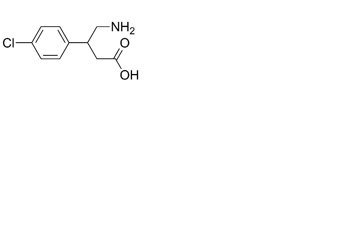
   Chemický vzorec  

Masti
Kompatibilita   Masti   Kompatibilita : Baclofen              
žádná data

  Mentions Légales