zadnja posodobitev :
27/04/2026
Različen   Baclofen  
Mazila
Brizgalka Peroralna raztopina
Stabilnost farmacevtskih preparatov Stabilnost mešanice Faktorji, ki vplivajo na stabilnost Kompatibilnost Viri pdf
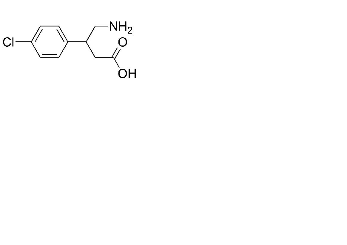
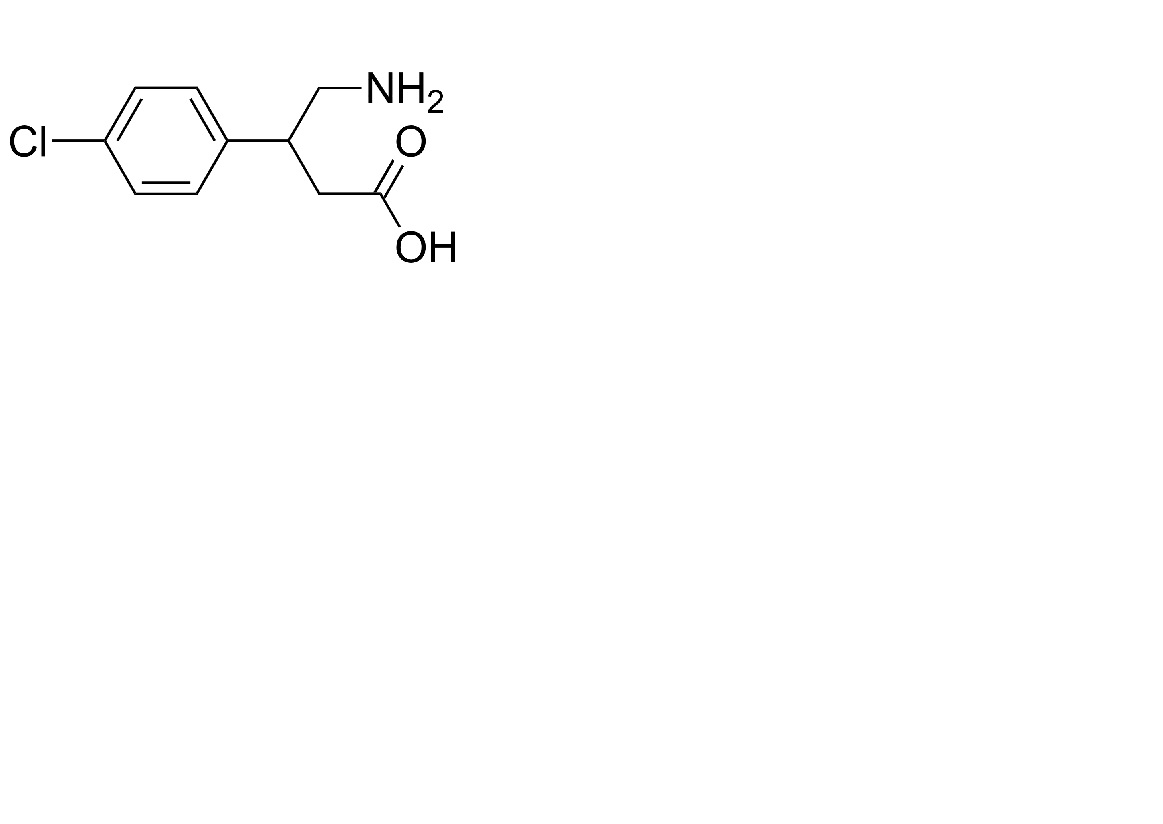
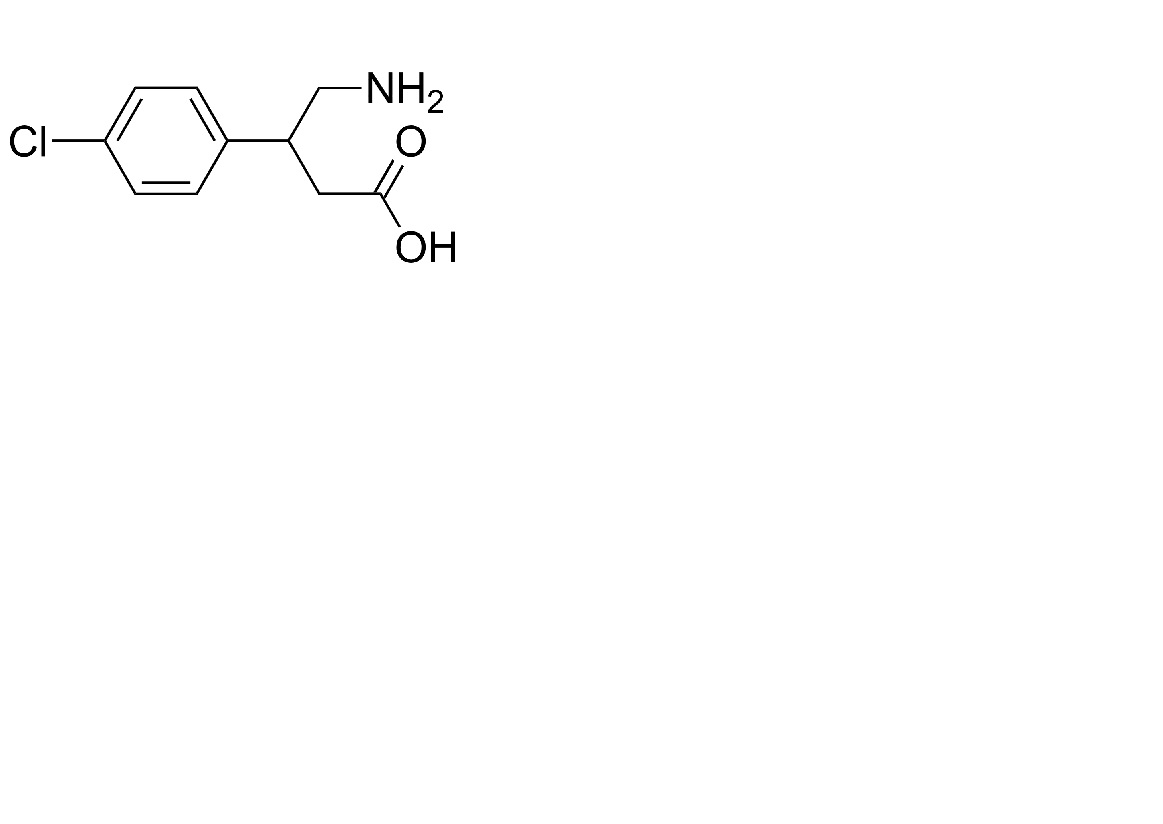
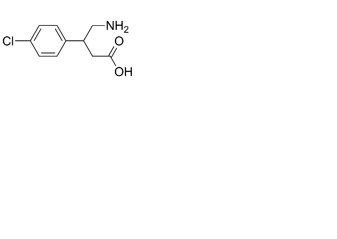
   Kemična formula  

Mazila
Kompatibilnost   Mazila   Kompatibilnost : Baclofen              
ni podatka

  Mentions Légales