Последнее обновление :
27/04/2026
Разное   Baclofen  
Мази
Инъекция Раствор для перорального приёма
Стабильность фармацевтических препаратов Стабильность смесей Факторы, которые влияют на стабильность Совместимость Библиография pdf
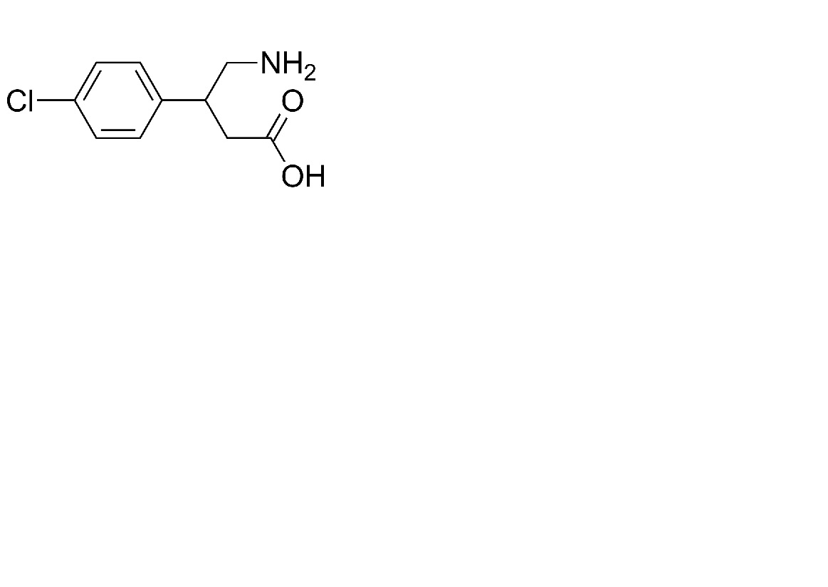
   Химическая структура  

Мази
Совместимость   Мази   Совместимость : Baclofen              
данных нет

  Mentions Légales