Utolsó frissítés :
27/04/2026
Különféle   Baclofen  
kenőcs
belsőleges oldat Injekció
Stabilitása gyógyszerészeti készítmények A keverékek stabilitása Stabilitást befolyásoló tényezők Kompatibilitás Irodalom pdf
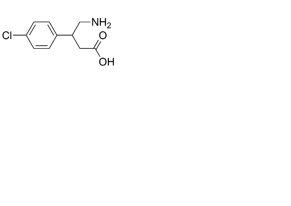
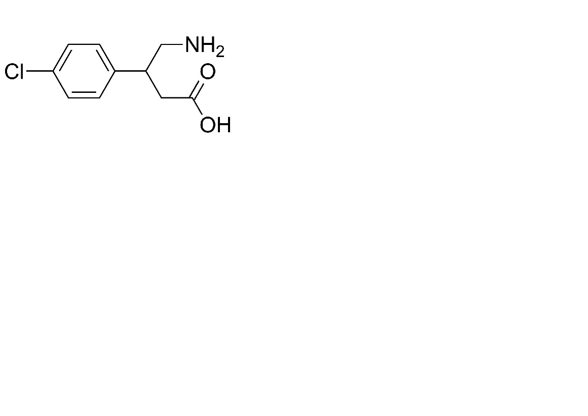
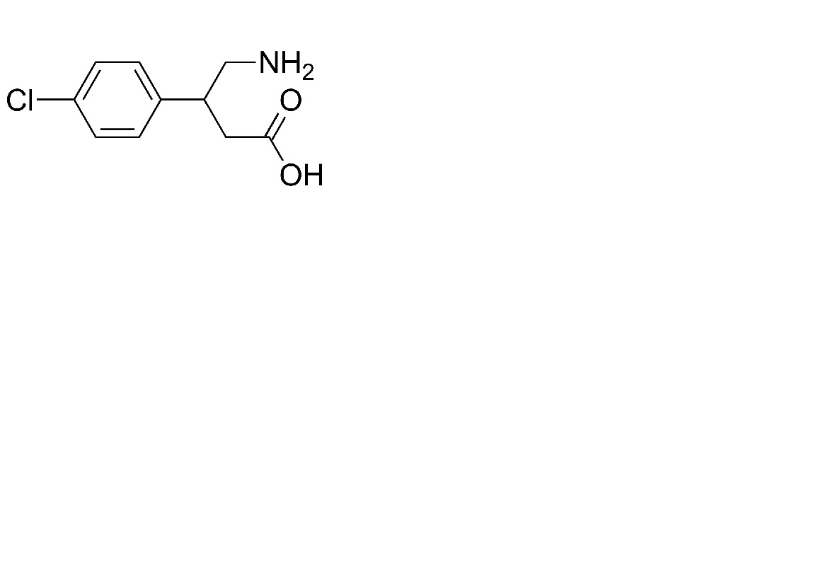
   Kémiai szerkezet   

kenőcs
Kompatibilitás   kenőcs   Kompatibilitás : Baclofen              
Hiányzó adat

  Mentions Légales