Seneste opdatering :
27/04/2026
Diverse   Baclofen  
Salver
Injektion Oral opløsning
Stabilitet af farmaceutiske tilberedninger Stabilitet i blandinger Faktorer der påvirker stabiliteten Kompatibilitet Bibliografi pdf
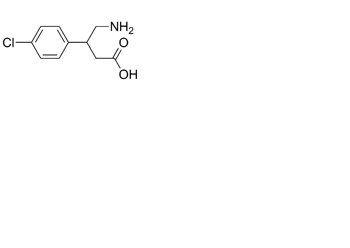
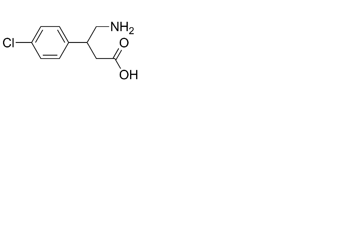
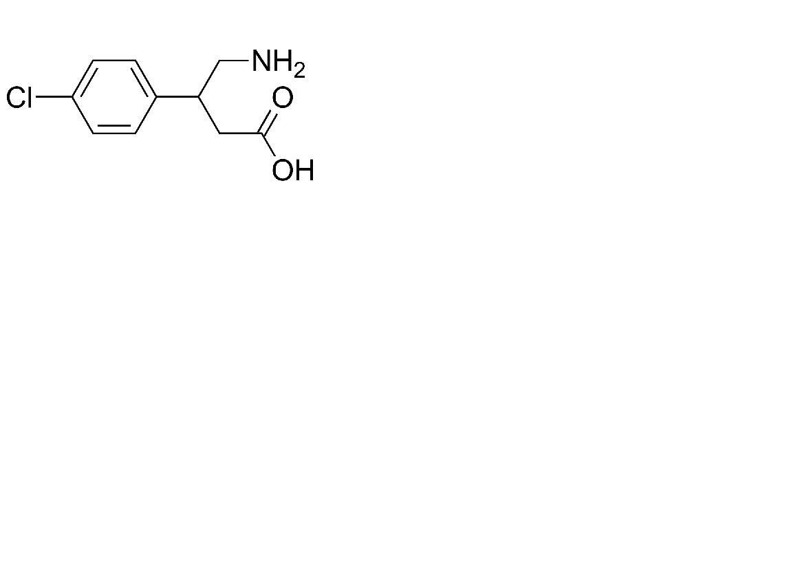
   Kemisk struktur  

Salver
Kompatibilitet   Salver   Kompatibilitet : Baclofen              
Ingen data

  Mentions Légales