Pēdējā atjaunošana :
27/04/2026
Dažādi   Baclofen  
Ziedes
Injekcija Orāls šķīdums
Stabilitāte farmaceitisko preparātu Maisījuma stabilitāte Stabilitāti ietekmējoši faktori Saderība Literatūras saraksts pdf
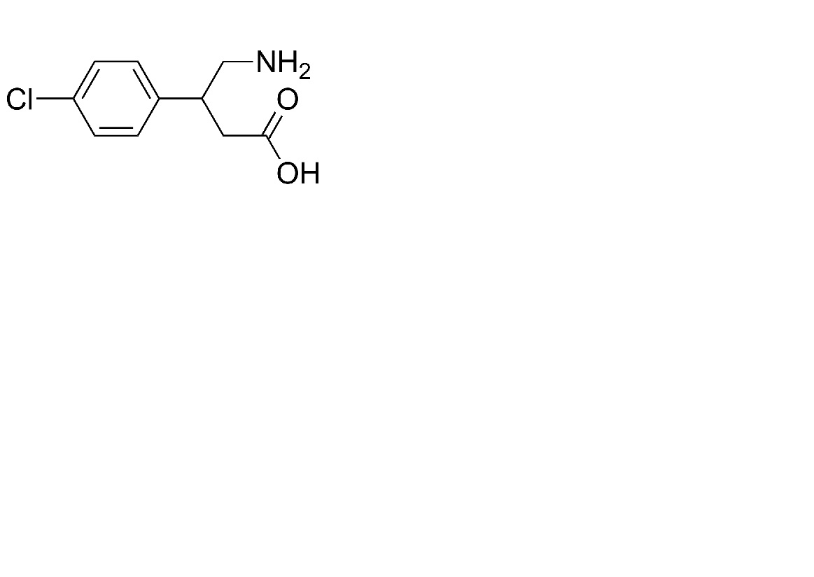
   Ķīmiskā uzbūve   

Ziedes
Saderība   Ziedes   Saderība : Baclofen              
Nav datu

  Mentions Légales