Ultimele actualizari :
27/04/2026
Diverse   Baclofen  
Unguente
Injectabil Soluţie orală
Stabilitatea preparatelor farmaceutice Stabilitatea in amestec Factorii care influenteaza stabilitatea Compatibilitate Bibliografie pdf
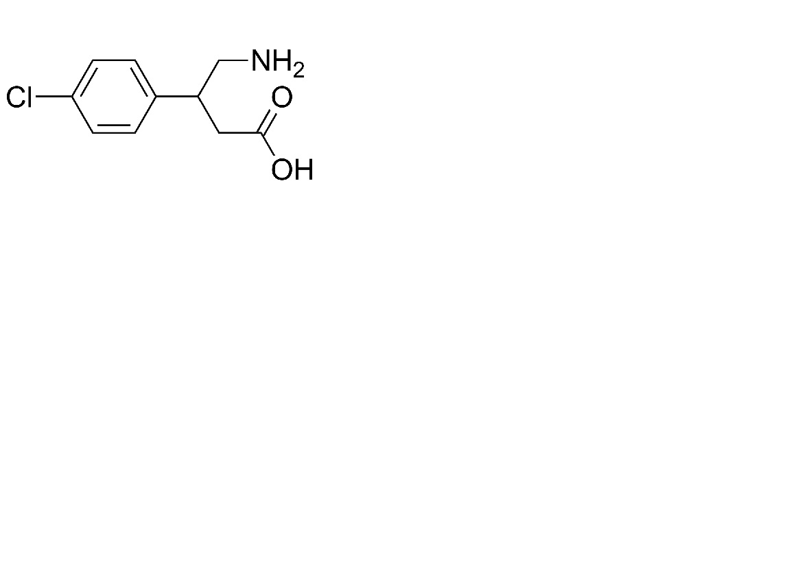
   Formula chimica  

Unguente
Compatibilitate   Unguente   Compatibilitate : Baclofen              
Absenta de date

  Mentions Légales