Senaste uppdateringen :
27/04/2026
Antibiotikum   Azithromycine  
Salvor
injektion
Stabilitet av läkemedel Stabilitet i blandningar Faktorer som påverkar stabiliteten Kompatibilitet Hänvisningar pdf
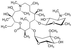
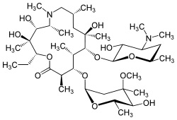
   Molekylstruktur  

Salvor

Faktorer som påverkar stabiliteten   Salvor   Faktorer som påverkar stabiliteten : Azithromycine        
Ingen uppgift

  Mentions Légales