Seneste opdatering :
27/04/2026
Antibiotisk   Azithromycine  
Salver
Injektion
Stabilitet af farmaceutiske tilberedninger Stabilitet i blandinger Faktorer der påvirker stabiliteten Kompatibilitet Bibliografi pdf
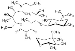
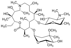
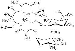
   Kemisk struktur  

Salver

Faktorer der påvirker stabiliteten   Salver   Faktorer der påvirker stabiliteten : Azithromycine        
Ingen data

  Mentions Légales