Viimeisin päivitys :
27/04/2026
Antibiootit   Azithromycine  
Salvat
Injektioneste
Vakaus lääkevalmisteen Stabilius seoksissa Tekijät, jotka vaikuttavat stabiliuteen Yhteensopivuus Viitteet pdf
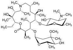
   Kemiallinen rakenne  

Salvat

Tekijät, jotka vaikuttavat stabiliuteen   Salvat   Tekijät, jotka vaikuttavat stabiliuteen : Azithromycine        
ei tietoa

  Mentions Légales