Última actualización :
27/04/2026
Antibiótico   Azithromycine  
Preparaciones tópicas
Inyectables
La estabilidad de las preparaciones farmacéuticas Estabilidad en mezcla Factores que influyen sobre la estabilidad Compatibilidades Bibliografía pdf
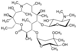
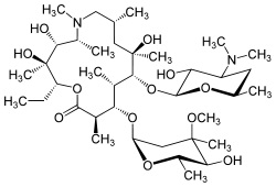
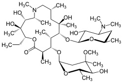
   Estructura química  

Preparaciones tópicas

Factores que influyen sobre la estabilidad   Preparaciones tópicas   Factores que influyen sobre la estabilidad : Azithromycine        
Ausencia de datos

  Mentions Légales