Последнее обновление :
27/04/2026
Антибиотик   Azithromycine  
Мази
Инъекция
Стабильность фармацевтических препаратов Стабильность смесей Факторы, которые влияют на стабильность Совместимость Библиография pdf
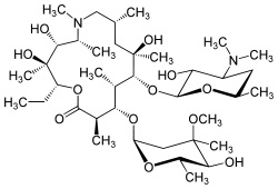
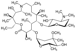
   Химическая структура  

Мази

Факторы, которые влияют на стабильность   Мази   Факторы, которые влияют на стабильность : Azithromycine        
данных нет

  Mentions Légales