Dernière mise à jour :
27/01/2026
Antibiotique   Azithromycine  
Forme dermique
injectable
Stabilité des préparations Stabilité en mélange Facteur influençant la stabilité Compatibilités Bibliographie pdf
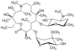
   Structure chimique  

Forme dermique

Facteur influençant la stabilité   Forme dermique   Facteur influençant la stabilité : Azithromycine        
Aucune donnée

  Mentions Légales