Siste oppdatering :
27/04/2026
Antibiotika   Azithromycine  
Salver
Injeksjon
Stabilitet av farmasøytiske preparater Stabilitet i blandinger Faktorer som påvirker stabiliteten Kompatibilitet Referanser pdf
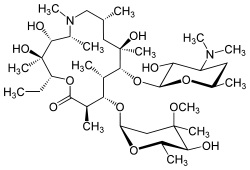
   Kjemisk struktur  

Salver

Faktorer som påvirker stabiliteten   Salver   Faktorer som påvirker stabiliteten : Azithromycine        
Ingen opplysninger

  Mentions Légales