Последно актуализиране :
27/04/2026
Антибиотик   Azithromycine  
Унгвент/Унгвенти
Инжекция/Инжекционен
Стабилност на лекарствени препарати Стабилност на смеси Фактори, повлияващи стабилността Съвместимост Библиография Pdf
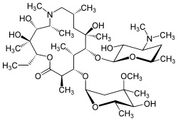
   Химична структура  

Унгвент/Унгвенти

Фактори, повлияващи стабилността   Унгвент/Унгвенти   Фактори, повлияващи стабилността : Azithromycine        
Няма данни

  Mentions Légales