Ostatnia aktualizacja :
27/04/2026
Antybiotyk   Azithromycine  
Maści
Injekcje
Stabilność preparatów farmaceutycznych Trwałość w mieszaninie Czynnik wpływający na trwałość Zgodność Bibliografia pdf
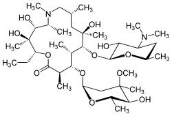
   Struktura chemiczna  

Maści

Czynnik wpływający na trwałość   Maści   Czynnik wpływający na trwałość : Azithromycine        
Brak danych

  Mentions Légales