zadnja posodobitev :
27/04/2026
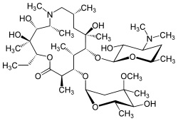
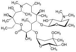
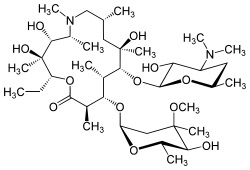
Antibiotik   Azithromycine  
Mazila
Brizgalka
Stabilnost farmacevtskih preparatov Stabilnost mešanice Faktorji, ki vplivajo na stabilnost Kompatibilnost Viri pdf
   Kemična formula  

Mazila

Faktorji, ki vplivajo na stabilnost   Mazila   Faktorji, ki vplivajo na stabilnost : Azithromycine        
ni podatka

  Mentions Légales