Останнє оновлення :
27/04/2026
Протипухлинний препарат   Cyclophosphamide  
капсула
ін'єкція Розчин для перорального застосування
Стабільність фармацевтичних препаратів Стійкість сумішей Фактори, що впливають на стабільність Сумісність Список літератури pdf
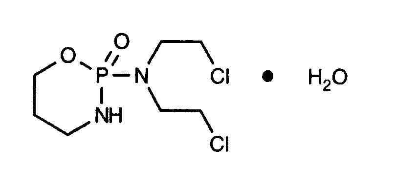
   Хімічна структура  

капсула
Стабільність фармацевтичних препаратів   капсула   Стабільність фармацевтичних препаратів : Cyclophosphamide     
Контейнер Origine допоміжна речовина температура Зберігання Тривалість стабільності Список літератури
Не визначено Капсельн 10 mg
Endoxan®
лактоза >>
? Не визначено
70 День
2000


  Mentions Légales