Seneste opdatering :
18/03/2026
anticancer medicin   Cyclophosphamide  
Kapsel
Injektion Oral opløsning
Stabilitet af farmaceutiske tilberedninger Stabilitet i blandinger Faktorer der påvirker stabiliteten Kompatibilitet Bibliografi pdf
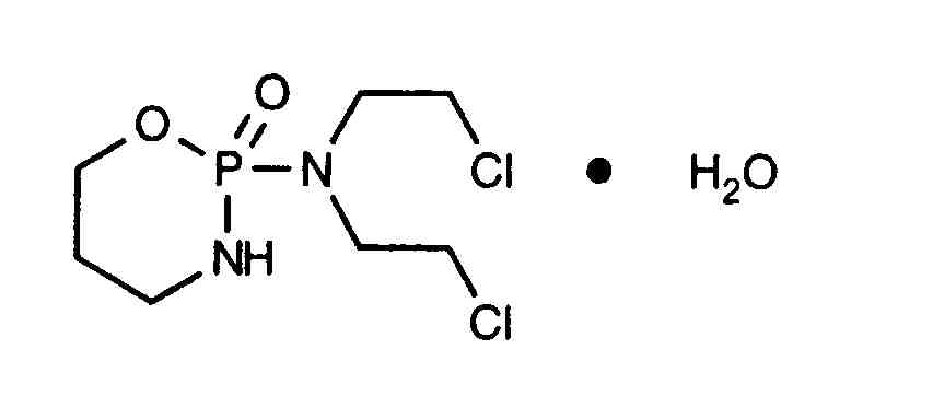
   Kemisk struktur  

Kapsel
Stabilitet af farmaceutiske tilberedninger   Kapsel   Stabilitet af farmaceutiske tilberedninger : Cyclophosphamide     
Beholder Origine Hjælpestof Temperatur Konservering Varighed af stabilitet Bibliografi
Ikke angivet nærmere Kapsel 10 mg
Endoxan®
Laktose >>
? Ikke nærmere angivet
70 Dag
2000


  Mentions Légales