آخر تحديث :
27/04/2026
المضادة للسرطان المخدرات   Cyclophosphamide  
كبسولة
حقن عن طريق الفم
استقرار المستحضرات الصيدلانية استقرار مخاليط العوامل التي تؤثر على الاستقرار التوافق مراجع pdf
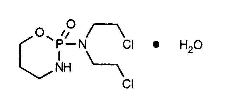
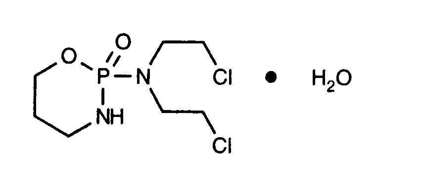
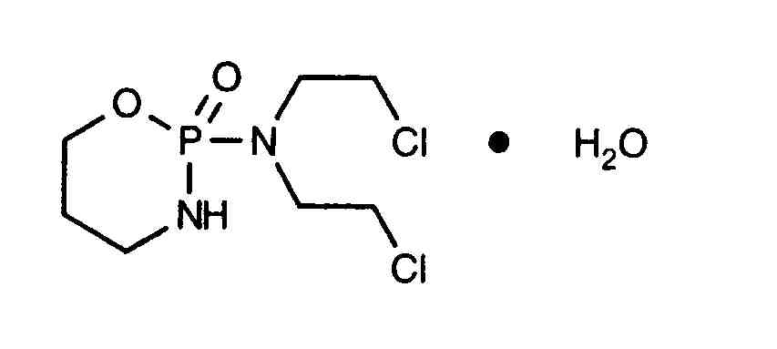
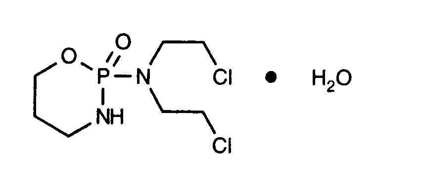
   التركيب الكيميائي  

كبسولة
استقرار المستحضرات الصيدلانية   كبسولة   استقرار المستحضرات الصيدلانية : Cyclophosphamide     
حاوية Origine الاضافات درجة الحرارة تخزين مدة الاستقرار مراجع
لم يتم تحديد كبسولات 10 mg
Endoxan®
اللاكتوز >>
? لم يتم تحديد
70 يوم
2000


  Mentions Légales