Senaste uppdateringen :
27/04/2026
cancerläkemedel   Cyclophosphamide  
Kapsel
injektion Oral lösning
Stabilitet av läkemedel Stabilitet i blandningar Faktorer som påverkar stabiliteten Kompatibilitet Hänvisningar pdf
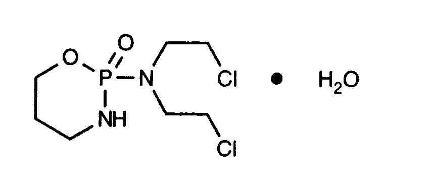
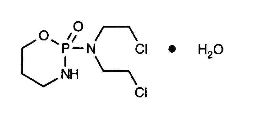
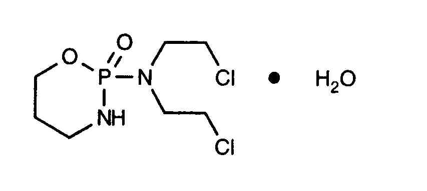
   Molekylstruktur  

Kapsel
Stabilitet av läkemedel   Kapsel   Stabilitet av läkemedel : Cyclophosphamide     
Behållare Origine Hjälpämne Temperatur Förvaring Stabilitets varaktighet Hänvisningar
Ej angiven Kapslar 10 mg
Endoxan®
Laktos >>
? Ej angiven
70 Dag
2000


  Mentions Légales