Pēdējā atjaunošana :
27/04/2026
vēzis narkotiku   Cyclophosphamide  
Kapsula
Injekcija Orāls šķīdums
Stabilitāte farmaceitisko preparātu Maisījuma stabilitāte Stabilitāti ietekmējoši faktori Saderība Literatūras saraksts pdf
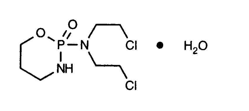
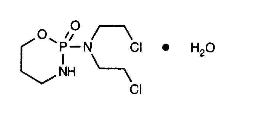
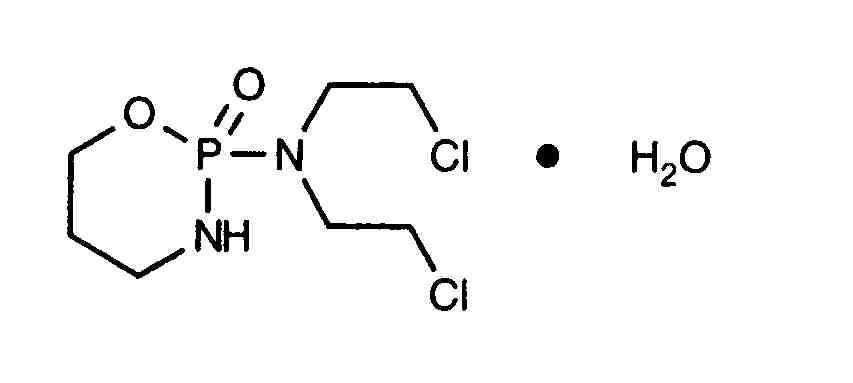
   Ķīmiskā uzbūve   

Kapsula
Stabilitāte farmaceitisko preparātu   Kapsula   Stabilitāte farmaceitisko preparātu : Cyclophosphamide     
Iepakojums Origine Palīgviela Temperatūra Glabāšana Stabilitātes ilgums Literatūras saraksts
Nespecifisks Kapsulas 10 mg
Endoxan®
Laktoze >>
? Nav specifisks
70 Diena
2000


  Mentions Légales