Viimeisin päivitys :
27/01/2026
syöpälääke   Cyclophosphamide  
Kapseli
Injektioneste Oraaliliuos
Vakaus lääkevalmisteen Stabilius seoksissa Tekijät, jotka vaikuttavat stabiliuteen Yhteensopivuus Viitteet pdf
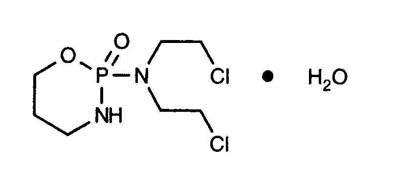
   Kemiallinen rakenne  

Kapseli
Vakaus lääkevalmisteen   Kapseli   Vakaus lääkevalmisteen : Cyclophosphamide     
Astia Origine Apuaine Lämpötila Säilytys Vakauden kesto Viitteet
Ei määritetty Kapseli 10 mg
Endoxan®
Laktoosi >>
? Ei määritetty
70 Päivä
2000


  Mentions Légales