Utolsó frissítés :
27/04/2026
rákellenes gyógyszer   Cyclophosphamide  
kapszula
belsőleges oldat Injekció
Stabilitása gyógyszerészeti készítmények A keverékek stabilitása Stabilitást befolyásoló tényezők Kompatibilitás Irodalom pdf
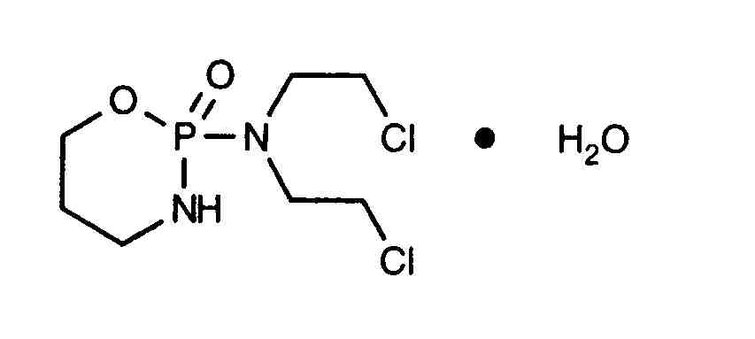
   Kémiai szerkezet   

kapszula
Stabilitása gyógyszerészeti készítmények   kapszula   Stabilitása gyógyszerészeti készítmények : Cyclophosphamide     
Csomagolás Origine segédanyag Hőmérséklet Tárolás A stabilitás időtartama Irodalom
Nincs meghatározva kapszula 10 mg
Endoxan®
laktóz >>
? Nincs meghatározva
70 Nap
2000


  Mentions Légales