最新更新 :
27/01/2026
抗癌藥物   Cyclophosphamide  
胶囊
口服剂 注射液
制剂的稳定性 混合物稳定性 影响稳定性的因素 兼容性 引用文献 PDF
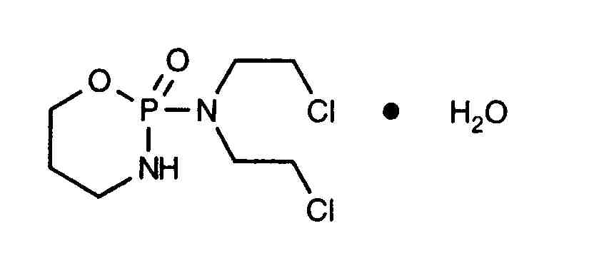
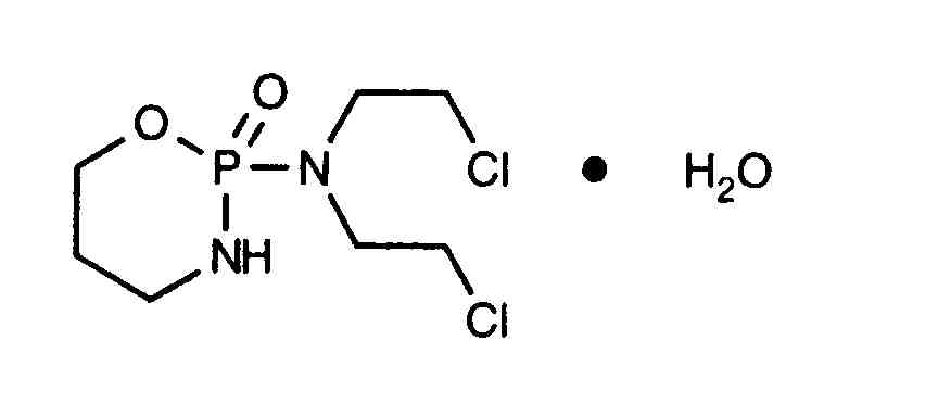
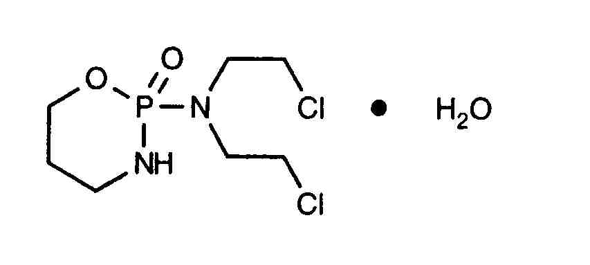
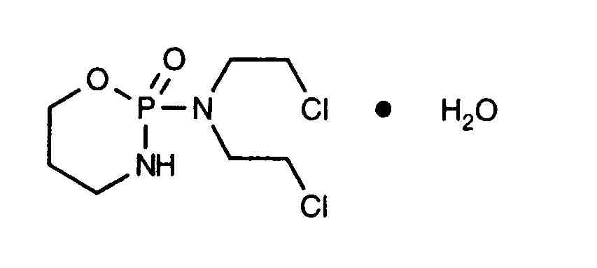
   化学式  

胶囊
制剂的稳定性   胶囊   制剂的稳定性 : Cyclophosphamide     
容器 Origine 添加剂 温度 保存 穩定持續時間 引用文献
不详 胶囊 10 mg
Endoxan®
乳糖 >>
? 无特殊要求
70 白天
2000


  Mentions Légales