Posledná aktualizácia :
27/01/2026
Protinádorová liečba   Cyclophosphamide  
Kapsula
Injekcia Perorálny roztok
Stabilita farmaceutických prípravkov Stabilita v zmesiach Faktory ovplyvňujúce stabilitu Kompatibility Odkazy na literatúru PDF
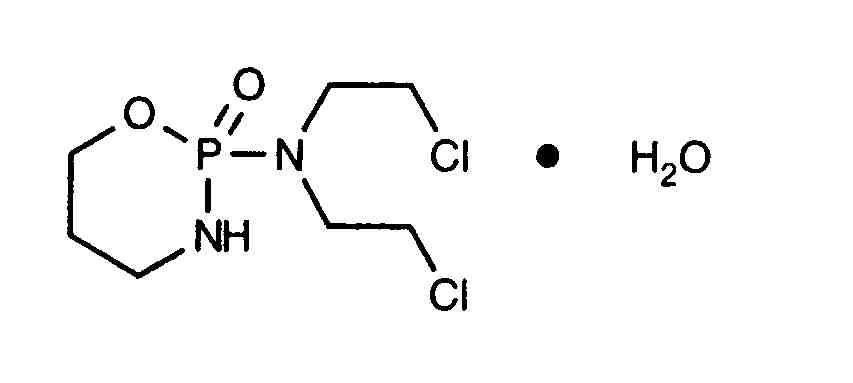
   Chemický vzorec  

Kapsula
Stabilita farmaceutických prípravkov   Kapsula   Stabilita farmaceutických prípravkov : Cyclophosphamide     
obal Pôvod Pomocná látka teplota uchovávanie Trvanie stability odkazy na lieteratúru
nešpecifikované Kapsuly 10 mg
Endoxan®
Laktóza >>
? nešpecifikované
70 dní
2000


  Mentions Légales