viimane versioon :
27/01/2026
vähiravimite   Cyclophosphamide  
kapsel
Süsteravim suukaudne lahus
Stabiilsust ravimpreparaadid Stabiilsust mõjutavad tegurid stabiilsust mõjutavad faktorid Sobimatus Viited pdf
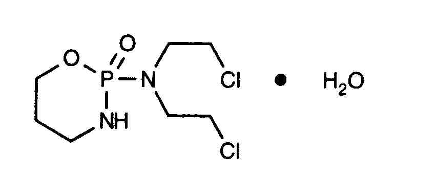
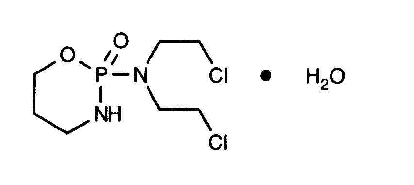
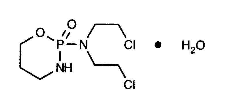
   keemiline struktuur  

kapsel
Stabiilsust ravimpreparaadid   kapsel   Stabiilsust ravimpreparaadid : Cyclophosphamide     
konteiner Origine  abiaine temperatuur ladustamine Stabiilsuse kestus Viited
pole täpsustatud Kapslid 10 mg
Endoxan®
laktoos >>
? pole täpsustatud
70 päev
2000


  Mentions Légales