Son güncelleme :
27/01/2026
Antifungal   Amphotericin B  
Enjeksiyon
Aerosol Gargara Göz damlası Oral solüsyon / oral çözelti
Çözeltilerin stabilitesi Karışımlardaki stabilitesi Stabiliteyi etkileyen faktörler Uyumluluk Uygulama yöntemi Kaynaklar pdf
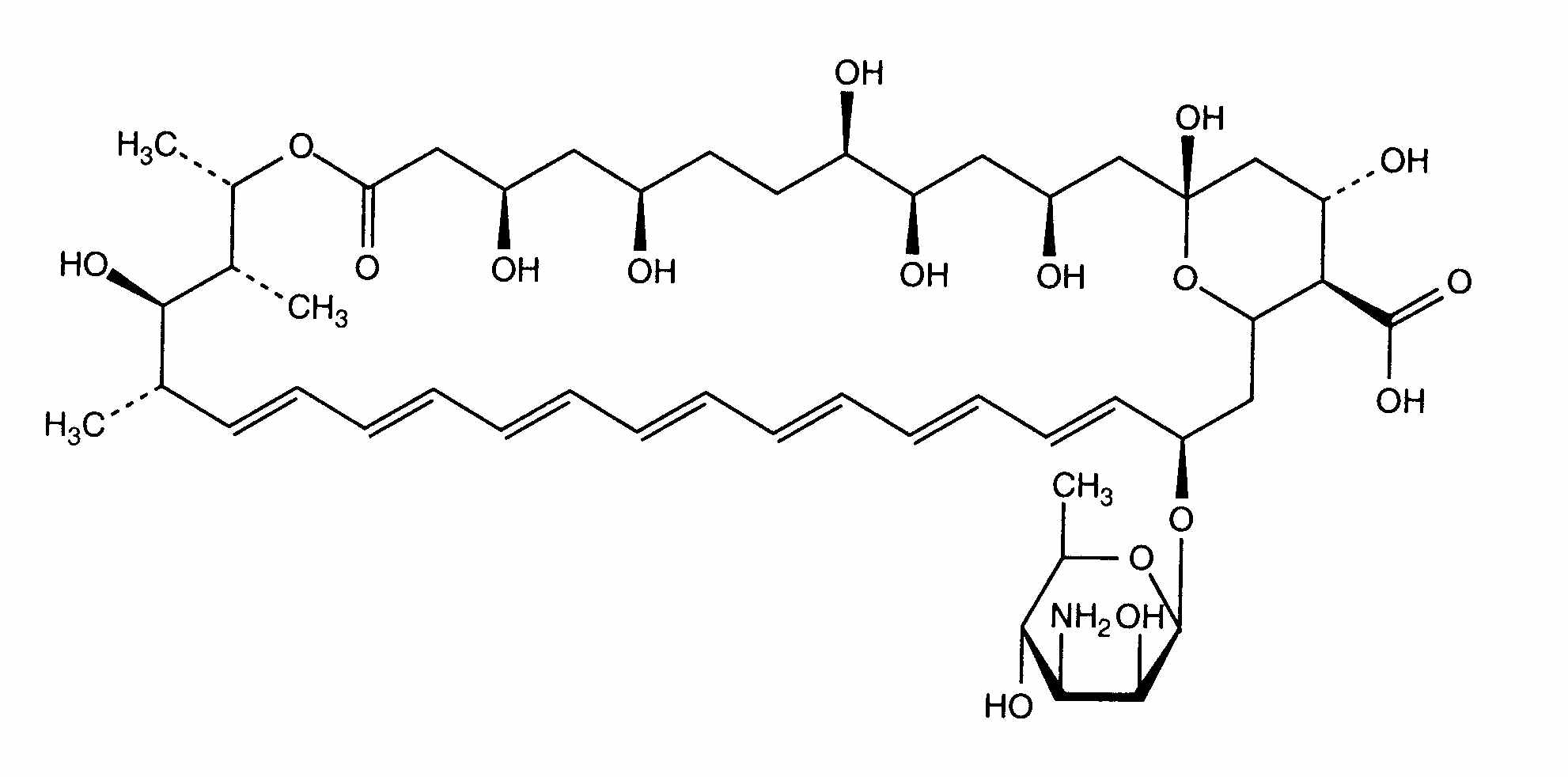
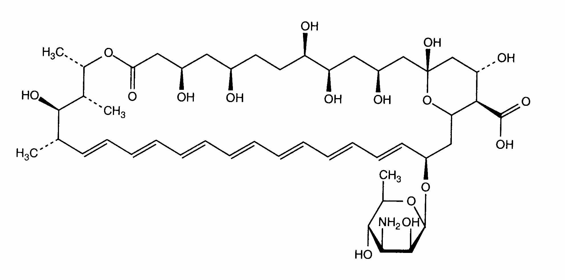
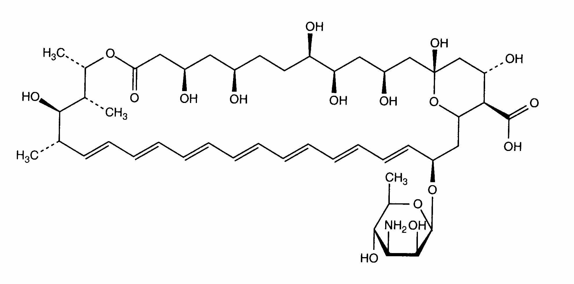
   Kimyasal yapı   

Ticari isim   Ticari isim     

Trade names are indicative and excipients composition can be different depending on the country and manufacturers

Fungizone Almanya, Amerika Birleşik Devletleri, Büyük Britanya, Danimarka, Fas, Finlandiya, Fransa, Hindistan, Hollanda, İran, İrlanda, İsveç, İsviçre, İtalya, Kanada, Kolombiya, Macaristan, Malezya, Portekiz, Tunus, Türkiye, Venezuela, yeni Zelanda, Yunanistan
Çözeltilerin stabilitesi   Enjeksiyon    Çözeltilerin stabilitesi : Amphotericin B     
Saklama kabı Çözücü Konsantrasyon Isı Saklama    Stabilite süresi Kaynaklar
Polivinil klorür Glukoz %5 0,05 & 0,5 mg/ml 23°C-25°C Işıklı veya ışıksız
24 Zaman
12
Kanıt düzeyi D

Polivinil klorür Glukoz %5 0,1 mg/ml 15°C-25°C Işıktan koruyunuz
24 Zaman
435
Kanıt düzeyi D

Polivinil klorür Glukoz %5 0,1 mg/ml 4°C Işıktan koruyunuz
15 Gün
1907
Kanıt düzeyi D

Polivinil klorür Glukoz %5 0,1 & 0,25 mg/ml 4°C Işıktan koruyunuz
35 Gün
436
Kanıt düzeyi A+

Polivinil klorür Glukoz %5 0,2 & 0,5 mg/ml 25°C I_ık
120 Zaman
283
Kanıt düzeyi C+

Polivinil klorür Glukoz %5 0,2 & 0,5 & 1 mg/ml 4°C Işıktan koruyunuz
120 Zaman
283
Kanıt düzeyi C+

Polivinil klorür Glukoz %10 0,1 mg/ml 15°C-25°C Işıktan koruyunuz
24 Zaman
435
Kanıt düzeyi D

Polivinil klorür Glukoz %15 0,1 mg/ml 15°C-25°C Işıktan koruyunuz
24 Zaman
435
Kanıt düzeyi D

Polivinil klorür Glukoz %20 0,1 mg/ml 15°C-25°C Işıktan koruyunuz
24 Zaman
435
Kanıt düzeyi D

Poliolefin Glukoz %5 0,47 >> 0,75 mg/ml 25°C I_ık
24 Zaman
497
Kanıt düzeyi C+

Poliolefin Glukoz %5 0,92 >> 1,4 mg/ml 25°C Belirtilmemiş
36 Zaman
439
Kanıt düzeyi A+

Poliolefin Glukoz %5 0,92 >> 1,4 mg/ml 6°C Işıktan koruyunuz
36 Zaman
439
Kanıt düzeyi A+

poliizopren elastomer Glukoz %5 0,2 & 0,5 mg/ml 4°C Işıktan koruyunuz
10 Gün
604
Üreticinin stabilite verileri


  Mentions Légales