Senaste uppdateringen :
27/01/2026
Antimykotikum   Amphotericin B  
injektion
Aerosol Munvatten ögondroppar Oral lösning
Lösningars stabilitet Stabilitet i blandningar Faktorer som påverkar stabiliteten Kompatibilitet Administreringssätt Hänvisningar pdf
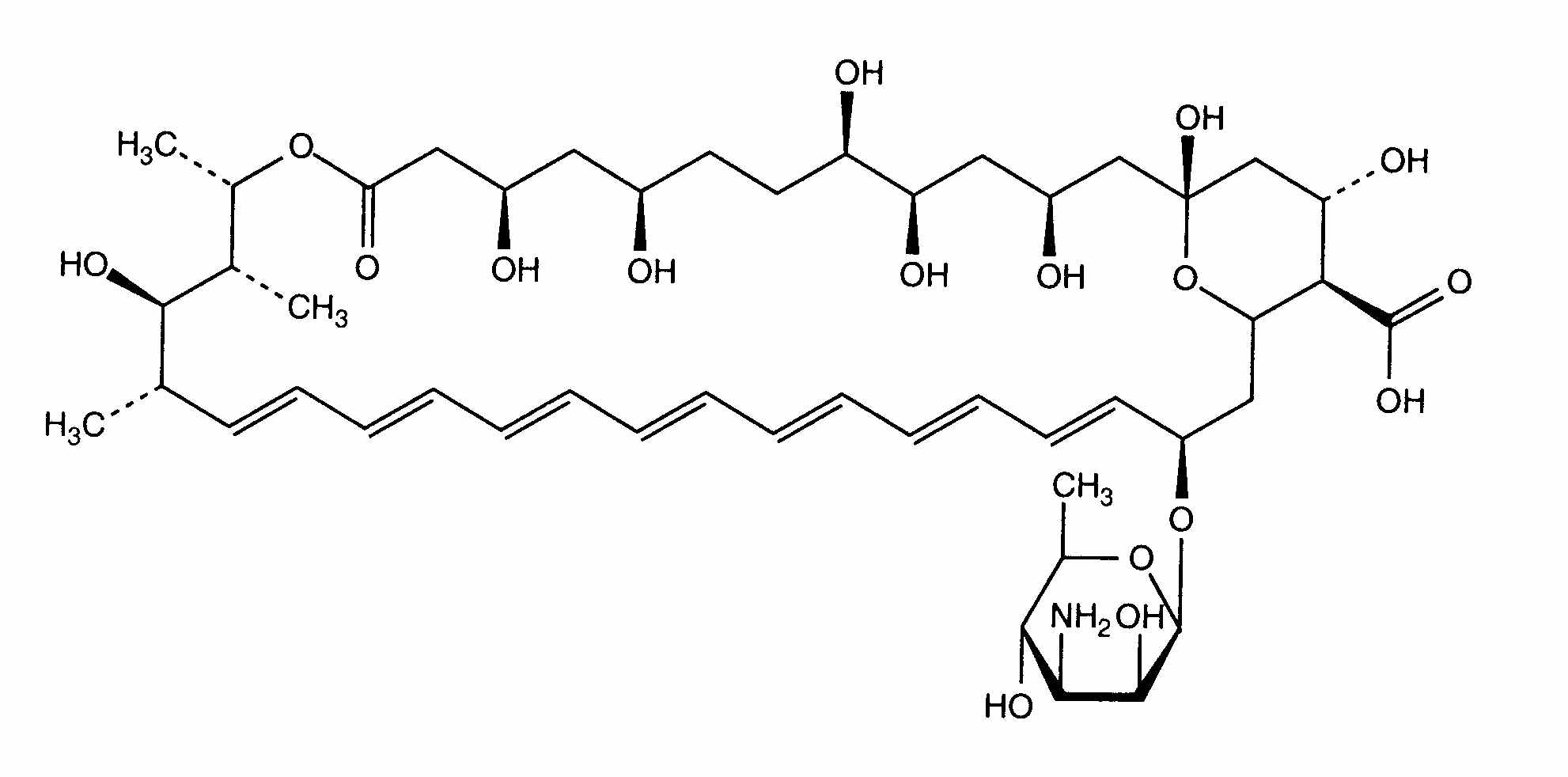
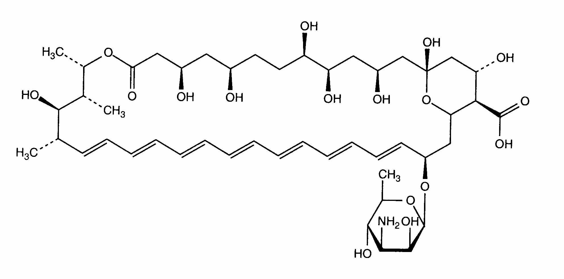
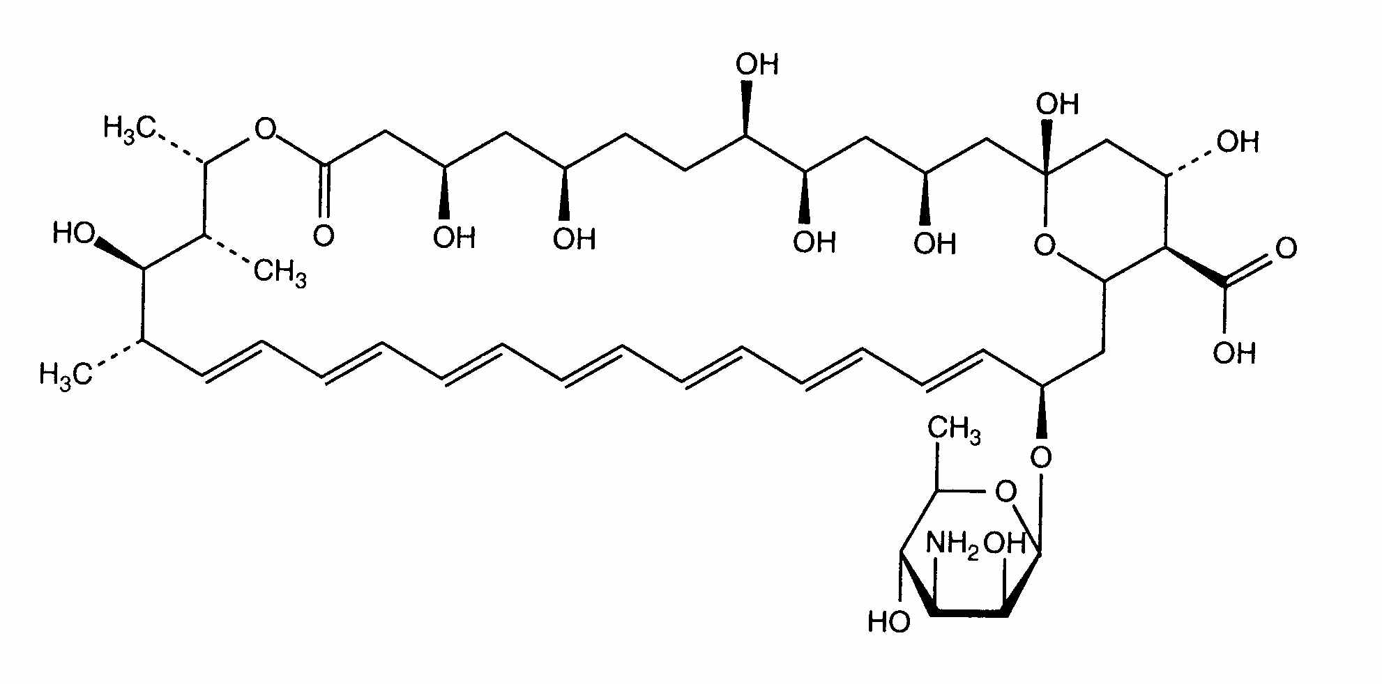
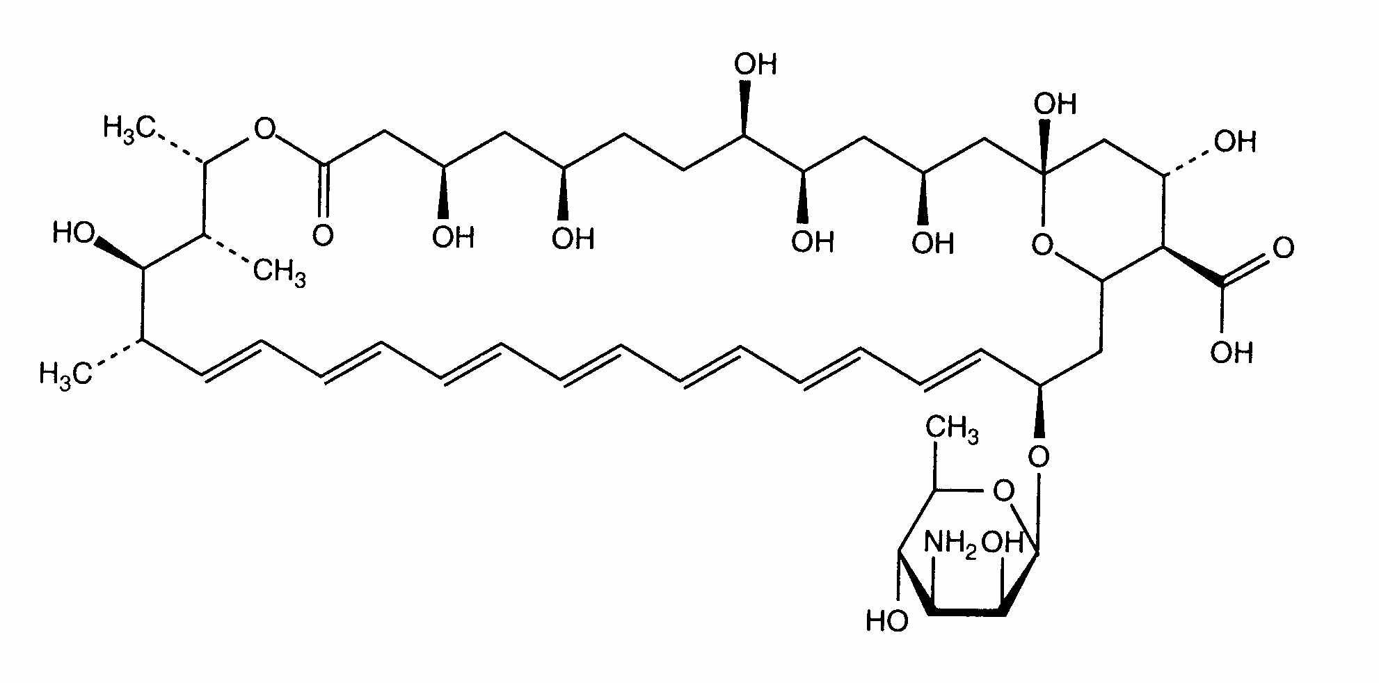
   Molekylstruktur  

Varunamn   Varunamn     

Angivna handelsnamn på läkemedel är enbart vägledande då formulering inklusive hjälpämnen kan variera mellan länder och tillverkare

Fungizone Colombia, Danmark, Finland, Förenta Staterna, Frankrike, Grekland, Indien, Iran, Irland, Italien, Kanada, Malaysia, Marocko, Nederländerna, nya Zeeland, Portugal, Schweiz, Storbritannien, Sverige, Tunisien, Turkiet, Tyskland, Ungern, Venezuela
Lösningars stabilitet   injektion   Lösningars stabilitet : Amphotericin B     
Behållare Lösningsmedel Koncentration Temperatur Förvaring Stabilitets varaktighet Hänvisningar
Polyvinylklorid Glukos 5 % 0,05 & 0,5 mg/ml 23°C-25°C Med eller utan ljus
24 Timma
12
Evidensnivå D

Polyvinylklorid Glukos 5 % 0,1 mg/ml 15°C-25°C Skyddas från ljus
24 Timma
435
Evidensnivå D

Polyvinylklorid Glukos 5 % 0,1 mg/ml 4°C Skyddas från ljus
15 Dag
1907
Evidensnivå D

Polyvinylklorid Glukos 5 % 0,1 & 0,25 mg/ml 4°C Skyddas från ljus
35 Dag
436
Evidensnivå A+

Polyvinylklorid Glukos 5 % 0,2 & 0,5 mg/ml 25°C Ljus
120 Timma
283
Evidensnivå C+

Polyvinylklorid Glukos 5 % 0,2 & 0,5 & 1 mg/ml 4°C Skyddas från ljus
120 Timma
283
Evidensnivå C+

Polyvinylklorid Glukos 10 % 0,1 mg/ml 15°C-25°C Skyddas från ljus
24 Timma
435
Evidensnivå D

Polyvinylklorid Glukos 15 % 0,1 mg/ml 15°C-25°C Skyddas från ljus
24 Timma
435
Evidensnivå D

Polyvinylklorid Glukos 20 % 0,1 mg/ml 15°C-25°C Skyddas från ljus
24 Timma
435
Evidensnivå D

Polyolefin Glukos 5 % 0,47 >> 0,75 mg/ml 25°C Ljus
24 Timma
497
Evidensnivå C+

Polyolefin Glukos 5 % 0,92 >> 1,4 mg/ml 25°C Ej angiven
36 Timma
439
Evidensnivå A+

Polyolefin Glukos 5 % 0,92 >> 1,4 mg/ml 6°C Skyddas från ljus
36 Timma
439
Evidensnivå A+

Polyisopren elastomer Glukos 5 % 0,2 & 0,5 mg/ml 4°C Skyddas från ljus
10 Dag
604
Tillverkarens stabilitetsuppgifter


  Mentions Légales