Poslední aktualizace :
27/01/2026
Protiplísňový přípravek   Amphotericin B  
injekce
Aerosol Humbuk kloktadlo Perorální roztok
Stabilita roztoků Stabilita směsí Faktory ovlivňující stabilitu Kompatibilita Způsoby aplikace Odkazy pdf
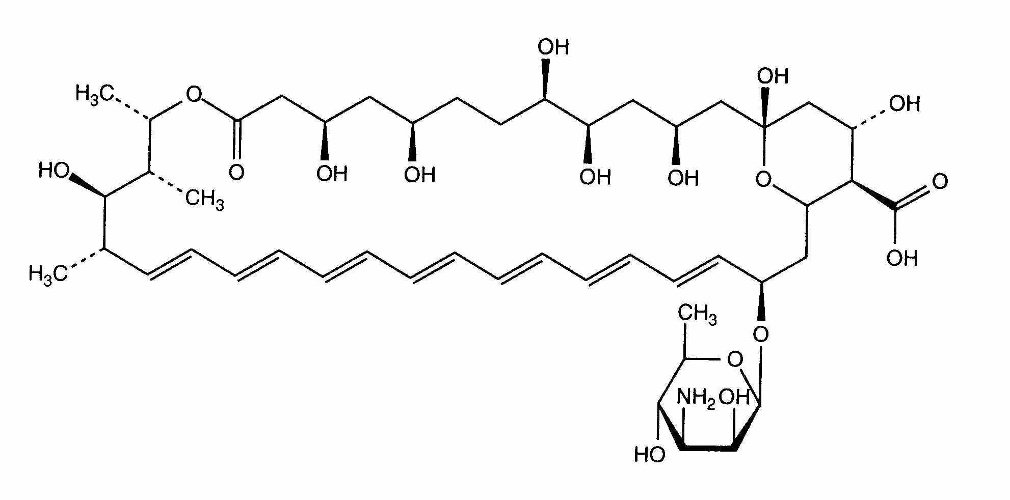
   Chemický vzorec  

Obchodní název   Obchodní název     

Trade names are indicative and excipients composition can be different depending on the country and manufacturers

Fungizone Dánsko, Finsko, Francie, Indie, Írán, Irsko, Itálie, Kanada, Kolumbie, Malajsie, MaÔarsko, Maroko, NÏmecko, Nizozemsko, nový Zéland, Portugalsko, Švédsko, Švýcarsko, Tunisko, Turecko, USA, Velká Británie, Venezuela, ÿecko
Stabilita roztoků   injekce   Stabilita roztoků : Amphotericin B     
Obal RozpouötÏdlo Koncentrace Teplota Uchovávání Trvání stability Odkazy
Polyvinyl chlorid GlukÛza 5% 0,05 & 0,5 mg/ml 23°C-25°C S nebo bez svÏtla
24 Hodina
12
Úroveň zkoušky D

Polyvinyl chlorid GlukÛza 5% 0,1 mg/ml 15°C-25°C Chráněno před světlem
24 Hodina
435
Úroveň zkoušky D

Polyvinyl chlorid GlukÛza 5% 0,1 mg/ml 4°C Chráněno před světlem
15 Den
1907
Úroveň zkoušky D

Polyvinyl chlorid GlukÛza 5% 0,1 & 0,25 mg/ml 4°C Chráněno před světlem
35 Den
436
Úroveň zkoušky A+

Polyvinyl chlorid GlukÛza 5% 0,2 & 0,5 mg/ml 25°C SvÏtlo
120 Hodina
283
Úroveň zkoušky C+

Polyvinyl chlorid GlukÛza 5% 0,2 & 0,5 & 1 mg/ml 4°C Chráněno před světlem
120 Hodina
283
Úroveň zkoušky C+

Polyvinyl chlorid GlukÛza 10% 0,1 mg/ml 15°C-25°C Chráněno před světlem
24 Hodina
435
Úroveň zkoušky D

Polyvinyl chlorid GlukÛza 15% 0,1 mg/ml 15°C-25°C Chráněno před světlem
24 Hodina
435
Úroveň zkoušky D

Polyvinyl chlorid GlukÛza 20% 0,1 mg/ml 15°C-25°C Chráněno před světlem
24 Hodina
435
Úroveň zkoušky D

Polyoleofin GlukÛza 5% 0,47 >> 0,75 mg/ml 25°C SvÏtlo
24 Hodina
497
Úroveň zkoušky C+

Polyoleofin GlukÛza 5% 0,92 >> 1,4 mg/ml 25°C Nespecifikováno
36 Hodina
439
Úroveň zkoušky A+

Polyoleofin GlukÛza 5% 0,92 >> 1,4 mg/ml 6°C Chráněno před světlem
36 Hodina
439
Úroveň zkoušky A+

Polyisoprenový elastomer GlukÛza 5% 0,2 & 0,5 mg/ml 4°C Chráněno před světlem
10 Den
604
Údaje o stabilitě od výrobce


  Mentions Légales