Seneste opdatering :
27/01/2026
Antisvampe   Amphotericin B  
Injektion
Aerosol Mundskyllevæske Oral opløsning Øjendråber
Stabilitet i (vandige) opløsninger Stabilitet i blandinger Faktorer der påvirker stabiliteten Kompatibilitet Administrationsvej Bibliografi pdf
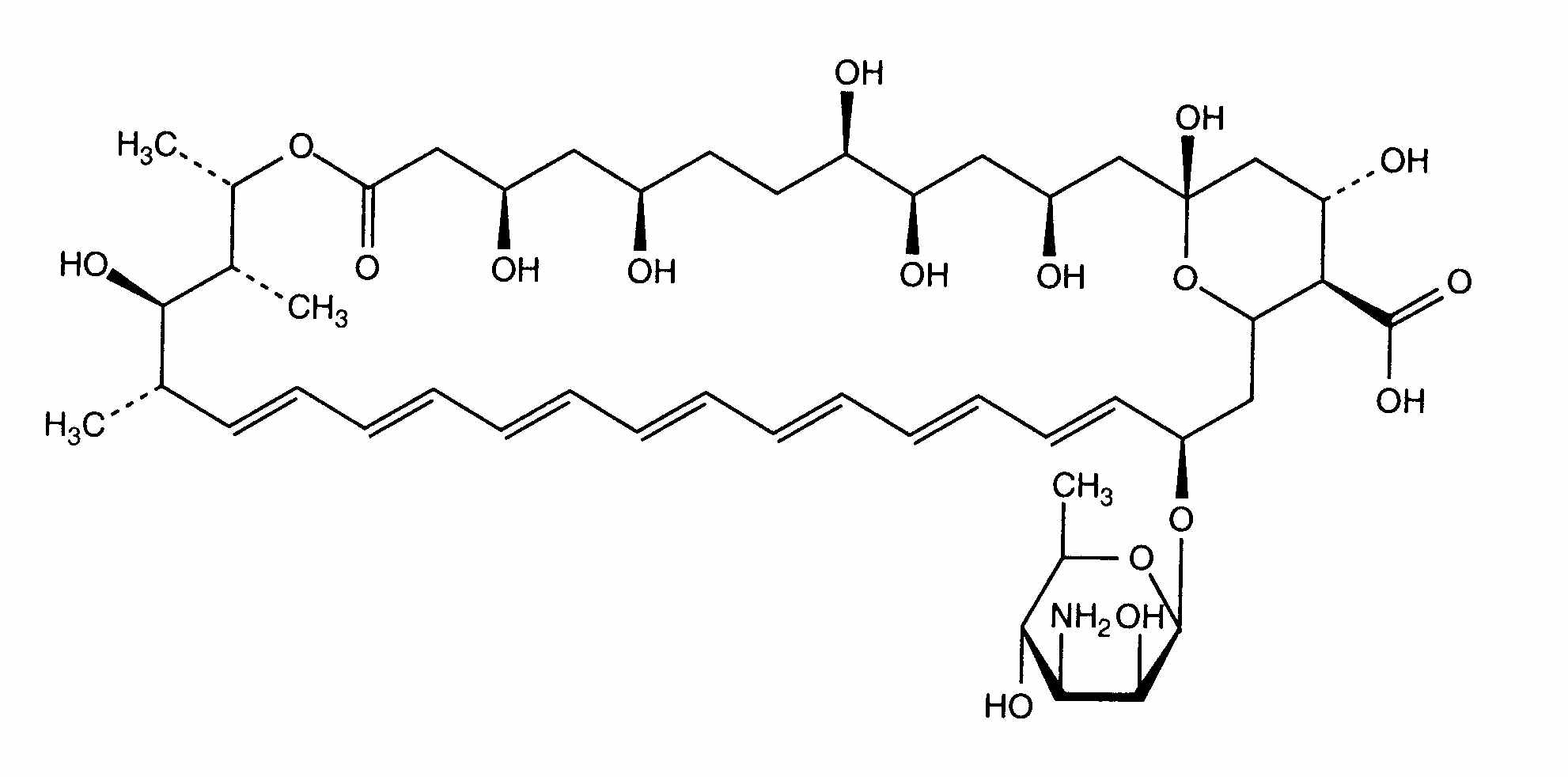
   Kemisk struktur  

Handelsnavn   Handelsnavn     

Handel navne er vejledende og hjælpestoffer sammensætning kan være forskellig afhængigt af landet og laboratorier

Fungizone Canada, Colombia, Danmark, Finland, Frankrig, Grækenland, Holland, Indien, Iran, Irland, Italien, Malaysia, Marokko, New Zealand, Portugal, Schweiz, Storbritanien, Sverige, Tunesien, Tyrkiet, Tyskland, Ungarn, USA, Venezuela
Stabilitet i (vandige) opløsninger   Injektion   Stabilitet i (vandige) opløsninger : Amphotericin B     
Beholder Opløsningsmiddel Koncentration Temperatur Konservering Varighed af stabilitet Bibliografi
Polyvinylklorid 5 % Glukose 0,05 & 0,5 mg/ml 23°C-25°C Med eller uden lys
24 Time
12
Level af bevismateriale D

Polyvinylklorid 5 % Glukose 0,1 mg/ml 15°C-25°C Beskyt mod lys
24 Time
435
Level af bevismateriale D

Polyvinylklorid 5 % Glukose 0,1 mg/ml 4°C Beskyt mod lys
15 Dag
1907
Level af bevismateriale D

Polyvinylklorid 5 % Glukose 0,1 & 0,25 mg/ml 4°C Beskyt mod lys
35 Dag
436
Level af bevismateriale A+

Polyvinylklorid 5 % Glukose 0,2 & 0,5 mg/ml 25°C Lys
120 Time
283
Level af bevismateriale C+

Polyvinylklorid 5 % Glukose 0,2 & 0,5 & 1 mg/ml 4°C Beskyt mod lys
120 Time
283
Level af bevismateriale C+

Polyvinylklorid 10% Glucose 0,1 mg/ml 15°C-25°C Beskyt mod lys
24 Time
435
Level af bevismateriale D

Polyvinylklorid 15% Glukose 0,1 mg/ml 15°C-25°C Beskyt mod lys
24 Time
435
Level af bevismateriale D

Polyvinylklorid 20% Glukose 0,1 mg/ml 15°C-25°C Beskyt mod lys
24 Time
435
Level af bevismateriale D

Polyolefin 5 % Glukose 0,47 >> 0,75 mg/ml 25°C Lys
24 Time
497
Level af bevismateriale C+

Polyolefin 5 % Glukose 0,92 >> 1,4 mg/ml 25°C Ikke nærmere angivet
36 Time
439
Level af bevismateriale A+

Polyolefin 5 % Glukose 0,92 >> 1,4 mg/ml 6°C Beskyt mod lys
36 Time
439
Level af bevismateriale A+

Polyisopren elastomer 5 % Glukose 0,2 & 0,5 mg/ml 4°C Beskyt mod lys
10 Dag
604
Producentens stabilitet data


  Mentions Légales