Ostatnia aktualizacja :
27/01/2026
Lek przeciwgrzybiczny   Amphotericin B  
Injekcje
Aerozol Krople oczne Roztwór do płukania gardła Roztwór doustny
Trwałość roztworów Trwałość w mieszaninie Czynnik wpływający na trwałość Zgodność Sposób podania Bibliografia pdf
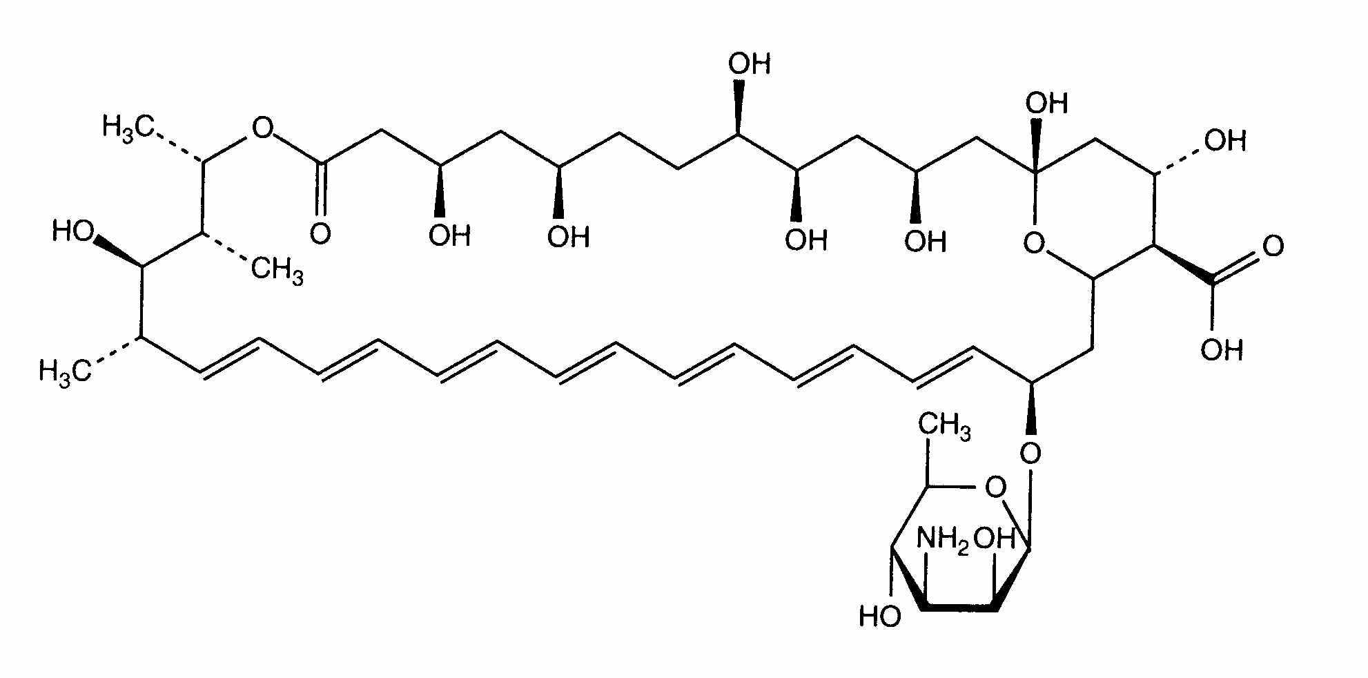
   Struktura chemiczna  

Nazwa handlowa   Nazwa handlowa     

Trade names are indicative and excipients composition can be different depending on the country and manufacturers

Fungizone Dania, Finlandia, Francja , Grecja, Holandia, Indie, Iran, Irlandia, Kanada, KolumbiaKolumbia, Malezja, Maroko, Niemcy, nowa Zelandia, Portugalia, Stany Zjednoczone Ameryki, Szwajcaria, Szwecja, Tunisie, Turcja, Węgry, Wenezuela, Wielka Brytania, Włochy
Trwałość roztworów   Injekcje   Trwałość roztworów : Amphotericin B     
Pojemnik Rozpuszczalnik Stężenie Temperatura Przechowywanie Czas trwania stabilności Bibliografia
Polichlorek winylu Glukoza 5% 0,05 & 0,5 mg/ml 23°C-25°C Przy świetle lub w ciemności
24 Godzina
12
Poziom wiarygodności D

Polichlorek winylu Glukoza 5% 0,1 mg/ml 15°C-25°C Chronić od światła
24 Godzina
435
Poziom wiarygodności D

Polichlorek winylu Glukoza 5% 0,1 mg/ml 4°C Chronić od światła
15 Dzień
1907
Poziom wiarygodności D

Polichlorek winylu Glukoza 5% 0,1 & 0,25 mg/ml 4°C Chronić od światła
35 Dzień
436
Poziom wiarygodności A+

Polichlorek winylu Glukoza 5% 0,2 & 0,5 mg/ml 25°C światło
120 Godzina
283
Poziom wiarygodności C+

Polichlorek winylu Glukoza 5% 0,2 & 0,5 & 1 mg/ml 4°C Chronić od światła
120 Godzina
283
Poziom wiarygodności C+

Polichlorek winylu Glukoza 10% 0,1 mg/ml 15°C-25°C Chronić od światła
24 Godzina
435
Poziom wiarygodności D

Polichlorek winylu Glukoza 15% 0,1 mg/ml 15°C-25°C Chronić od światła
24 Godzina
435
Poziom wiarygodności D

Polichlorek winylu Glukoza 20% 0,1 mg/ml 15°C-25°C Chronić od światła
24 Godzina
435
Poziom wiarygodności D

Poliolefina Glukoza 5% 0,47 >> 0,75 mg/ml 25°C światło
24 Godzina
497
Poziom wiarygodności C+

Poliolefina Glukoza 5% 0,92 >> 1,4 mg/ml 25°C Nie wyszczególniony
36 Godzina
439
Poziom wiarygodności A+

Poliolefina Glukoza 5% 0,92 >> 1,4 mg/ml 6°C Chronić od światła
36 Godzina
439
Poziom wiarygodności A+

Elastomer poliizoprenowy Glukoza 5% 0,2 & 0,5 mg/ml 4°C Chronić od światła
10 Dzień
604
Dane stabilności producenta


  Mentions Légales