viimane versioon :
27/01/2026
Seenevastane ravim   Amphotericin B  
Süsteravim
aerosool Silmatilgad suukaudne lahus Suuloputus lahus
Stabiilsus lahustes Stabiilsust mõjutavad tegurid stabiilsust mõjutavad faktorid Sobimatus Manustamis viis Viited pdf
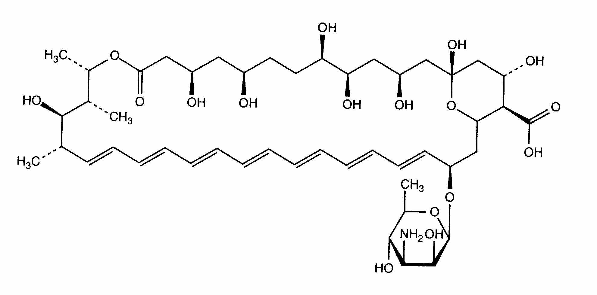
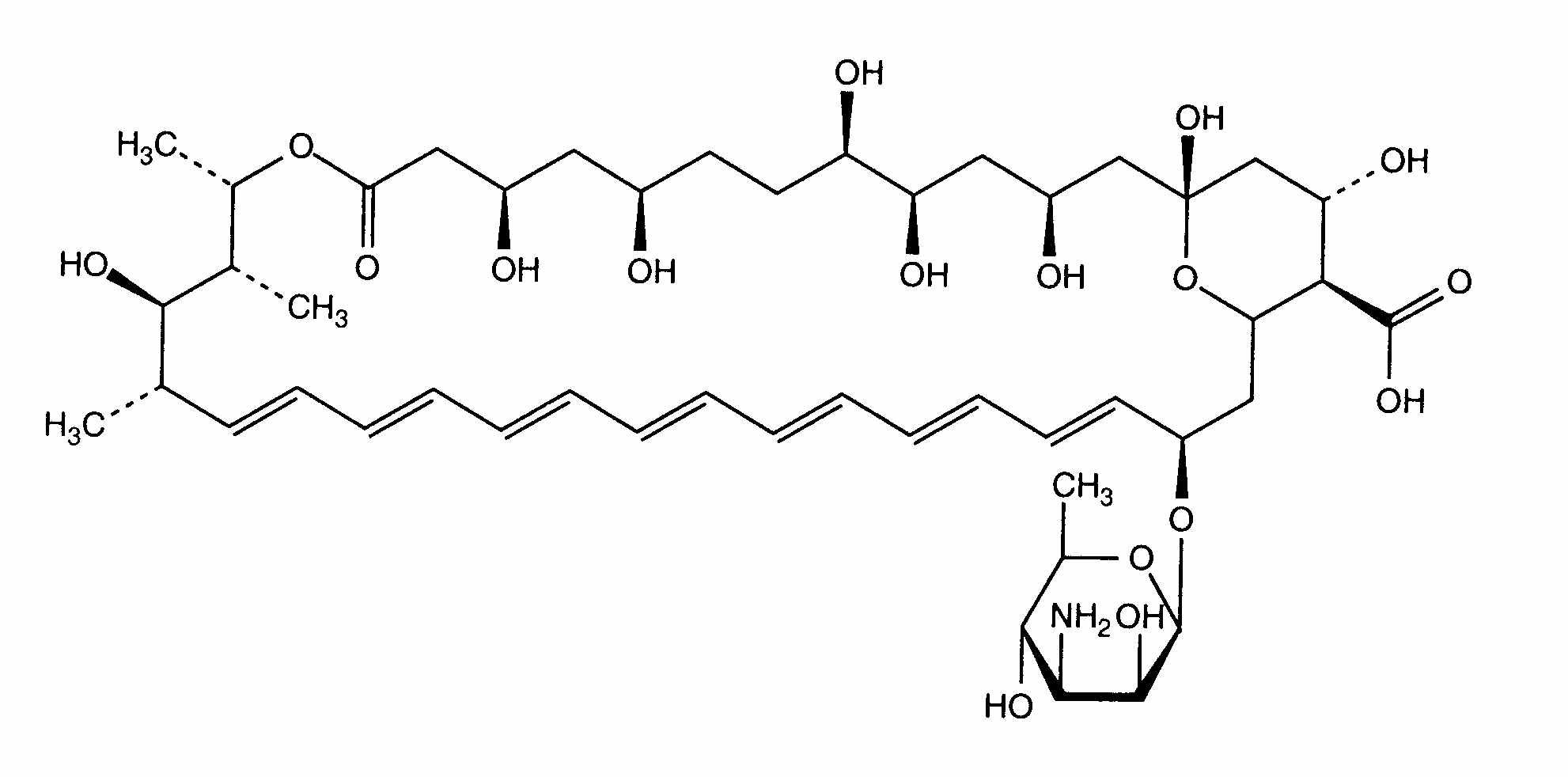
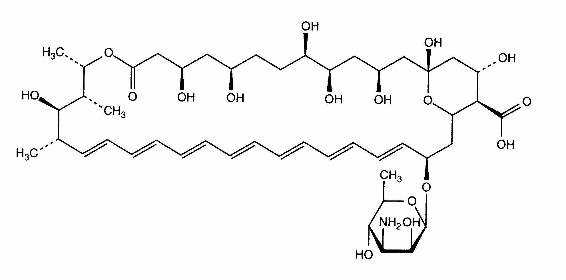
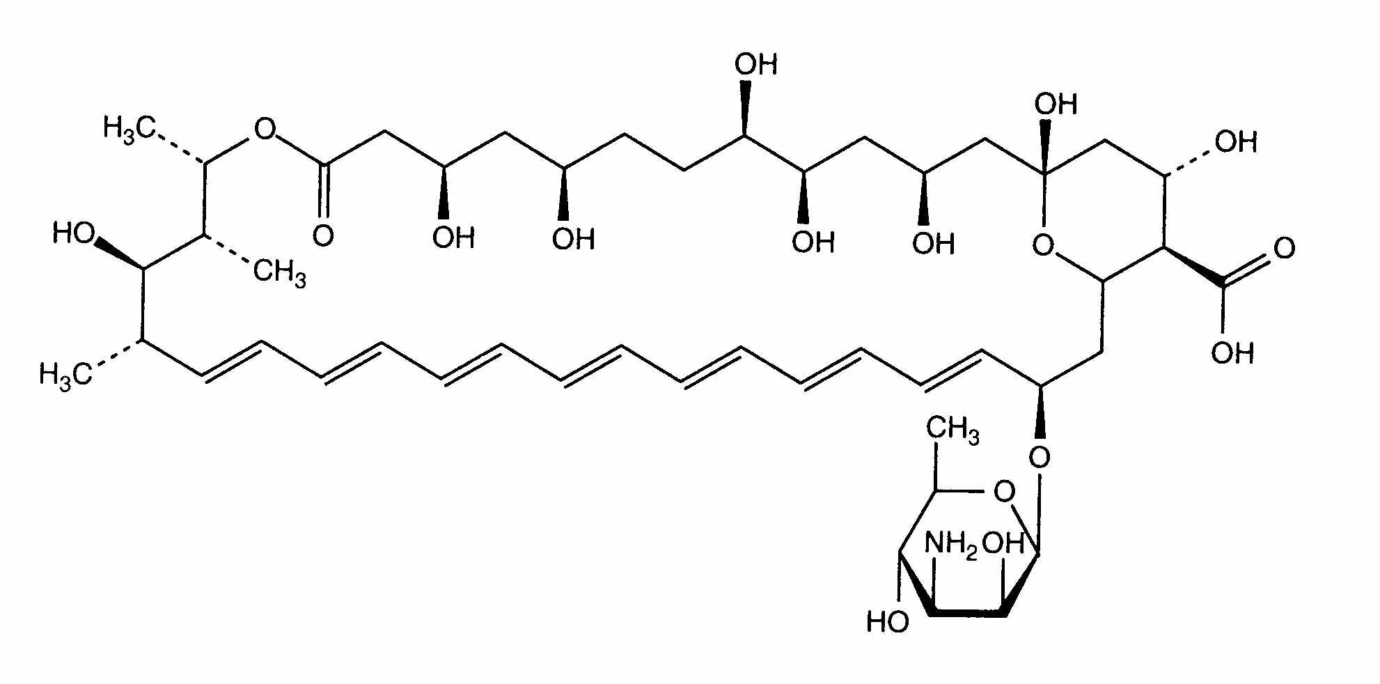
   keemiline struktuur  

Kaubanduslikud nimed erinevates maades   Kaubanduslikud nimed erinevates maades     

Preparaatide nimed on näitlikud ja abianete sisaldus võib erineda sõltuvalt riigist ja laborist

Fungizone Ameerika ühendriigid, Holland, Iirimaa, India, Iraan, Itaalia, Kanada, Kolumbia, Kreeka, Malaisia, Maroko, Portugal, Prantsusmaa, Rootsi, Saksamaa, Soome, Suurbritannia, Sveits, Taani, Tuneesia, Türgi, Ungari, uus-Meremaa, Venetsueela
Stabiilsus lahustes   Süsteravim   Stabiilsus lahustes : Amphotericin B     
konteiner lahusti kontsentratsioon temperatuur ladustamine Stabiilsuse kestus Viited
polüvinüülkloriid glükoos 5% 0,05 & 0,5 mg/ml 23°C-25°C valgusega või ilma valguseta
24 Tund
12
Tõenduspõhisuse tase D

polüvinüülkloriid glükoos 5% 0,1 mg/ml 15°C-25°C kaitsta valguse eest
24 Tund
435
Tõenduspõhisuse tase D

polüvinüülkloriid glükoos 5% 0,1 mg/ml 4°C kaitsta valguse eest
15 päev
1907
Tõenduspõhisuse tase D

polüvinüülkloriid glükoos 5% 0,1 & 0,25 mg/ml 4°C kaitsta valguse eest
35 päev
436
Tõenduspõhisuse tase A+

polüvinüülkloriid glükoos 5% 0,2 & 0,5 mg/ml 25°C valgus
120 Tund
283
Tõenduspõhisuse tase C+

polüvinüülkloriid glükoos 5% 0,2 & 0,5 & 1 mg/ml 4°C kaitsta valguse eest
120 Tund
283
Tõenduspõhisuse tase C+

polüvinüülkloriid glükoos 10% 0,1 mg/ml 15°C-25°C kaitsta valguse eest
24 Tund
435
Tõenduspõhisuse tase D

polüvinüülkloriid glükoos 15% 0,1 mg/ml 15°C-25°C kaitsta valguse eest
24 Tund
435
Tõenduspõhisuse tase D

polüvinüülkloriid glükoos 20% 0,1 mg/ml 15°C-25°C kaitsta valguse eest
24 Tund
435
Tõenduspõhisuse tase D

polüolefiin glükoos 5% 0,47 >> 0,75 mg/ml 25°C valgus
24 Tund
497
Tõenduspõhisuse tase C+

polüolefiin glükoos 5% 0,92 >> 1,4 mg/ml 25°C pole täpsustatud
36 Tund
439
Tõenduspõhisuse tase A+

polüolefiin glükoos 5% 0,92 >> 1,4 mg/ml 6°C kaitsta valguse eest
36 Tund
439
Tõenduspõhisuse tase A+

Polüisopreenist elastomeer glükoos 5% 0,2 & 0,5 mg/ml 4°C kaitsta valguse eest
10 päev
604
Tootja info stabiilsuse kohta


  Mentions Légales