Останнє оновлення :
27/01/2026
Протигрибковий   Amphotericin B  
ін'єкція
аерозоль Ополіскувач ротової порожнини Очні краплі Розчин для перорального застосування
Стійкість в розчинах Стійкість сумішей Фактори, що впливають на стабільність Сумісність Шлях введення Список літератури pdf
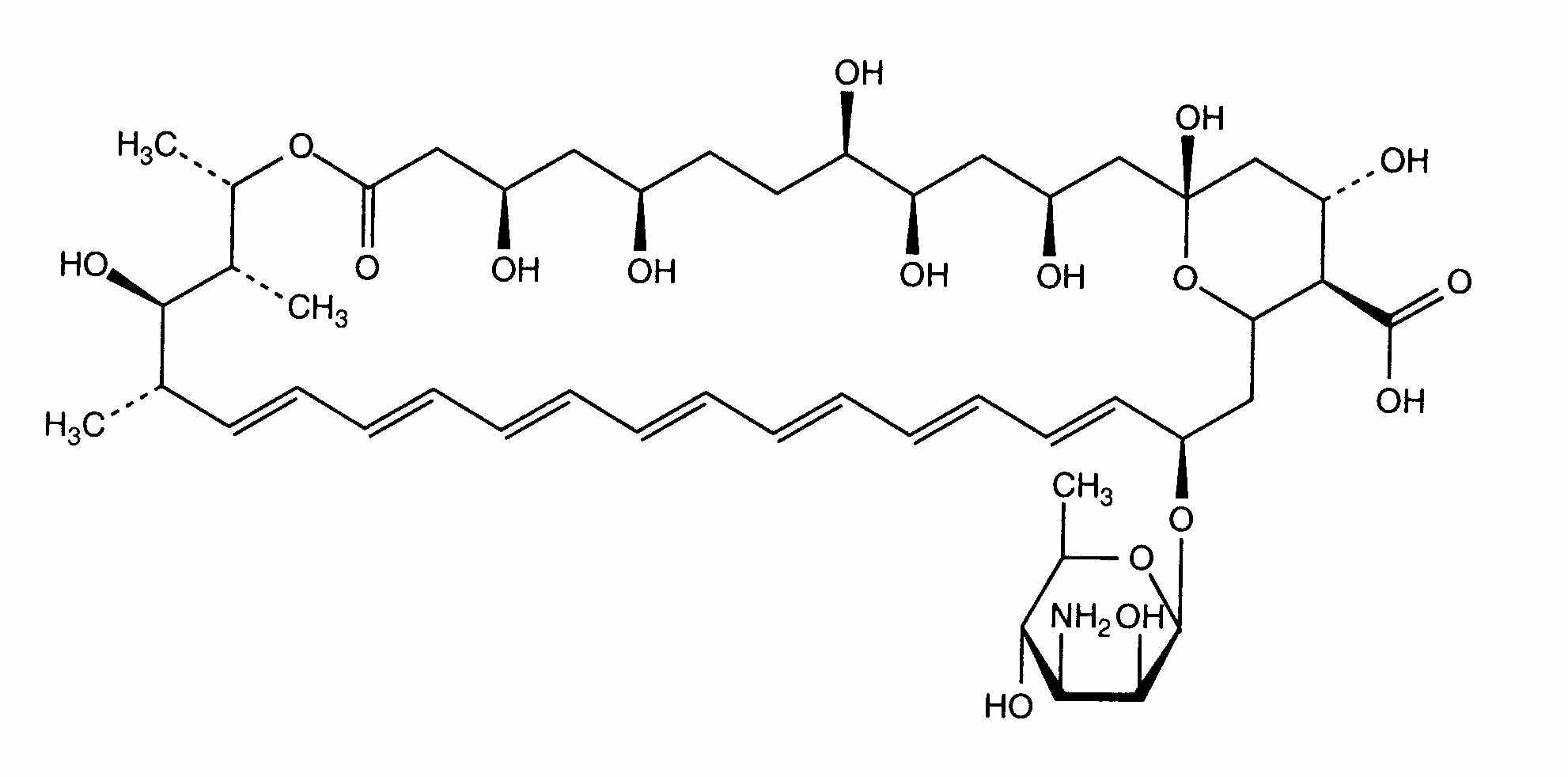
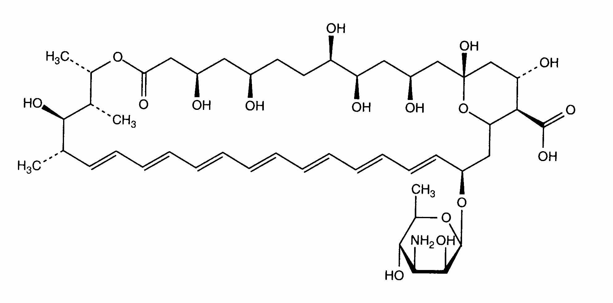
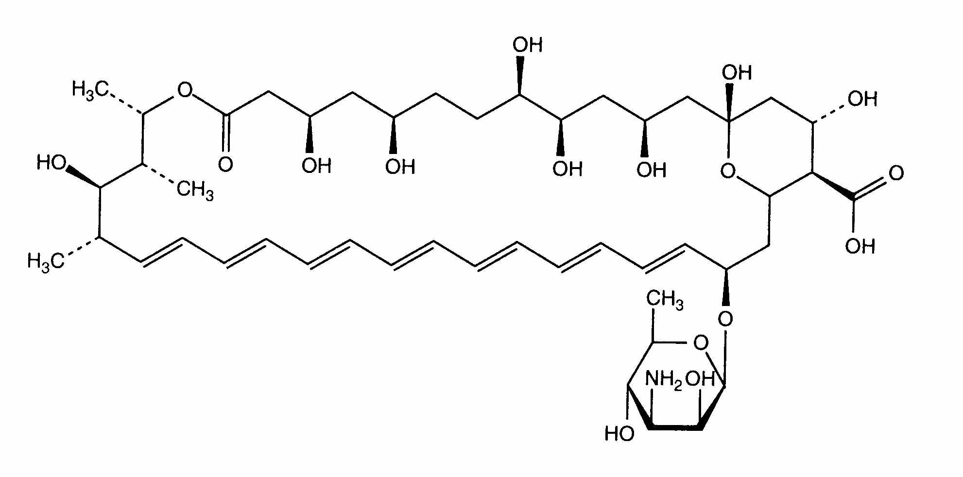
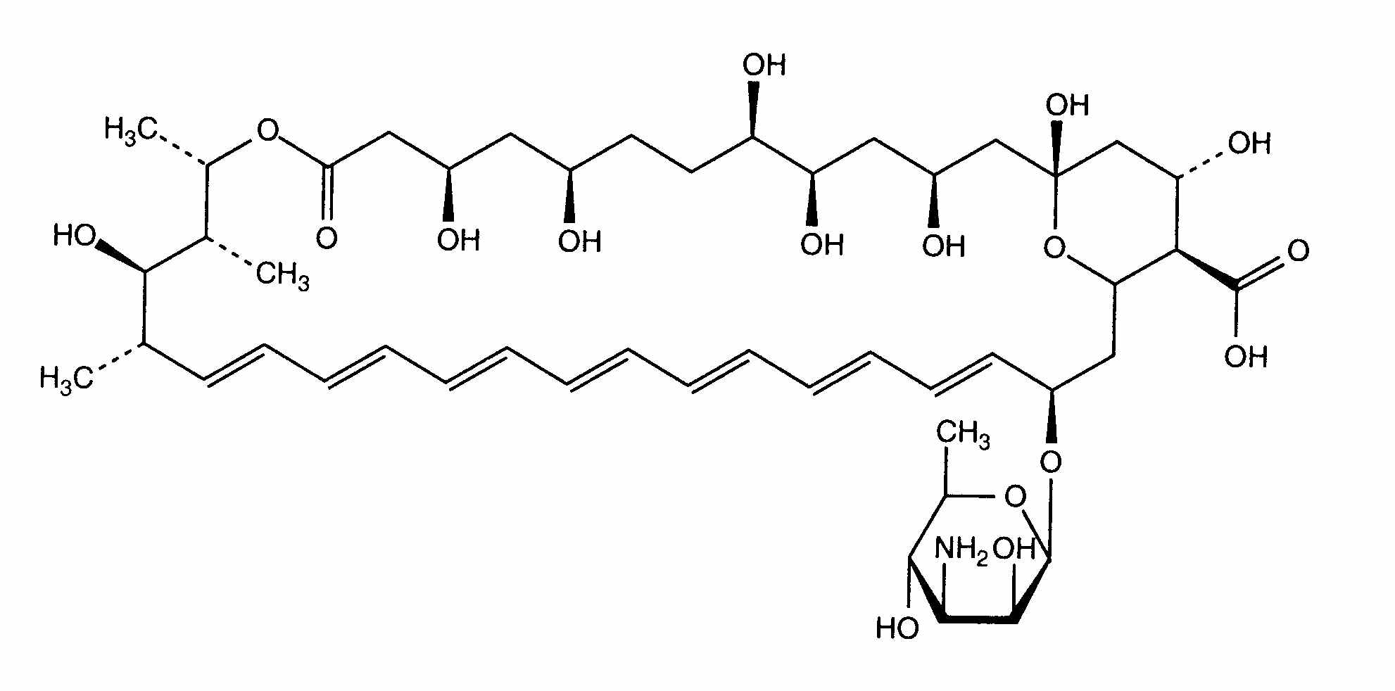
   Хімічна структура  

Торгова назва   Торгова назва     

Торгові назви є орієнтовними, а склад допоміжних речовин може бути різним залежно від країни та виробника

Fungizone Індія, Іран, Ірландія, Італія, Великобританія, Венесуела, Греція, Данія, Канада, Колумбія, Малайзія, Марокко, Нідерланди, Німеччина, Нова Зеландія, Португалія, Сполучені Штати Америки, Туніс, Туреччина, Угорщина, Фінляндія, Франція, Швейцарія, Швеція
Стійкість в розчинах   ін'єкція   Стійкість в розчинах : Amphotericin B     
Контейнер Розчинник Концентрація температура Зберігання Тривалість стабільності Список літератури
Полівініл хлорид Глюкоза 5% 0,05 & 0,5 mg/ml 23°C-25°C Зі світлом чи без
24 годину
12
Рівень доказовості D

Полівініл хлорид Глюкоза 5% 0,1 mg/ml 15°C-25°C Берегти від світла
24 годину
435
Рівень доказовості D

Полівініл хлорид Глюкоза 5% 0,1 mg/ml 4°C Берегти від світла
15 День
1907
Рівень доказовості D

Полівініл хлорид Глюкоза 5% 0,1 & 0,25 mg/ml 4°C Берегти від світла
35 День
436
Рівень доказовості А+

Полівініл хлорид Глюкоза 5% 0,2 & 0,5 mg/ml 25°C світло
120 годину
283
Рівень доказовості C+

Полівініл хлорид Глюкоза 5% 0,2 & 0,5 & 1 mg/ml 4°C Берегти від світла
120 годину
283
Рівень доказовості C+

Полівініл хлорид Глюкоза 10% 0,1 mg/ml 15°C-25°C Берегти від світла
24 годину
435
Рівень доказовості D

Полівініл хлорид Глюкоза 15% 0,1 mg/ml 15°C-25°C Берегти від світла
24 годину
435
Рівень доказовості D

Полівініл хлорид Глюкоза 20% 0,1 mg/ml 15°C-25°C Берегти від світла
24 годину
435
Рівень доказовості D

Поліолефін Глюкоза 5% 0,47 >> 0,75 mg/ml 25°C світло
24 годину
497
Рівень доказовості C+

Поліолефін Глюкоза 5% 0,92 >> 1,4 mg/ml 25°C Не визначено
36 годину
439
Рівень доказовості А+

Поліолефін Глюкоза 5% 0,92 >> 1,4 mg/ml 6°C Берегти від світла
36 годину
439
Рівень доказовості А+

Поліізопреновий еластомер Глюкоза 5% 0,2 & 0,5 mg/ml 4°C Берегти від світла
10 День
604
Дані виробника про стабільність


  Mentions Légales