Senaste uppdateringen :
27/01/2026
Antimykotikum   Amphotericin B  
injektion
Aerosol Munvatten ögondroppar Oral lösning
Lösningars stabilitet Stabilitet i blandningar Faktorer som påverkar stabiliteten Kompatibilitet Administreringssätt Hänvisningar pdf
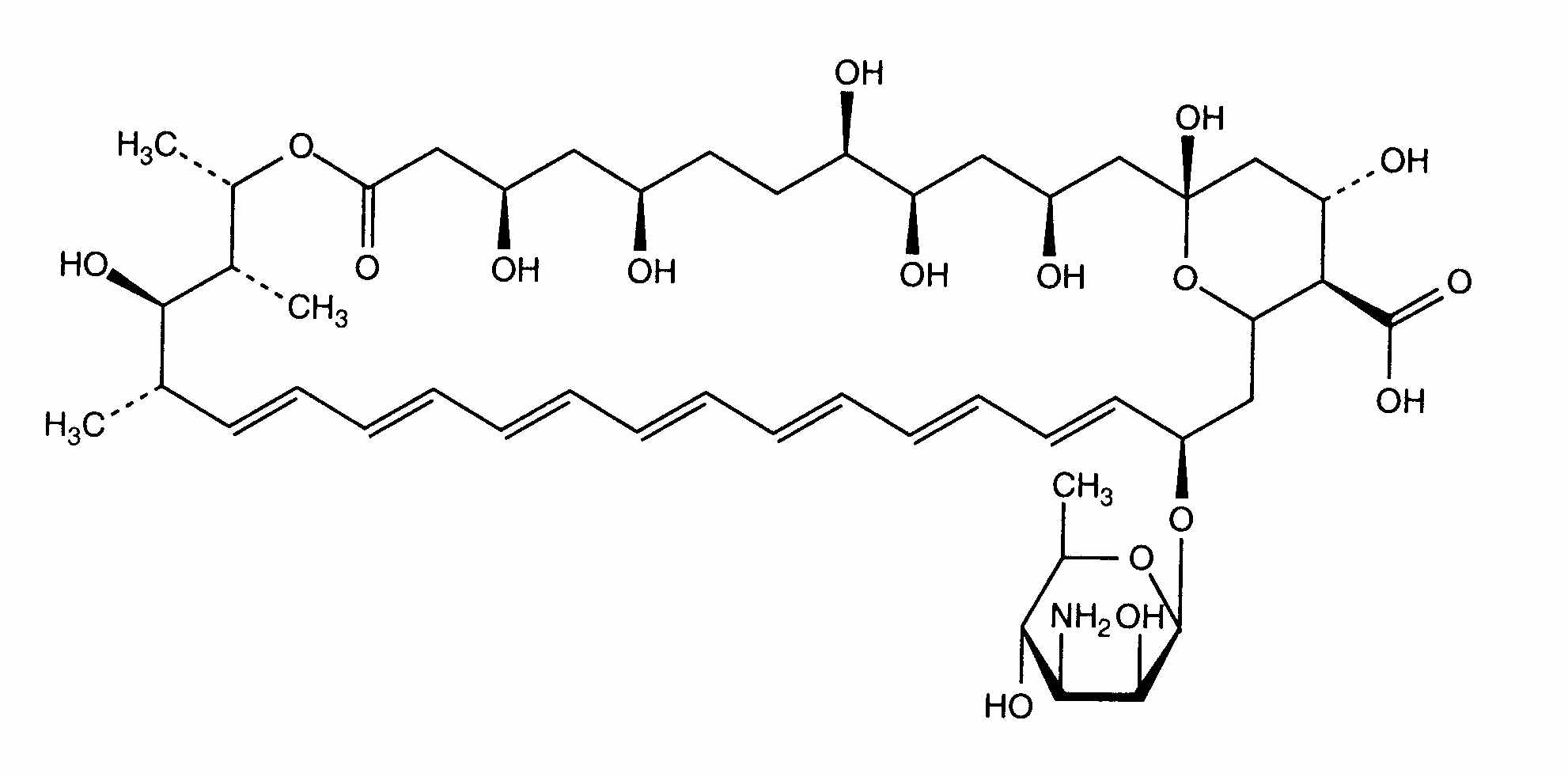
   Molekylstruktur  

Varunamn   Varunamn     

Angivna handelsnamn på läkemedel är enbart vägledande då formulering inklusive hjälpämnen kan variera mellan länder och tillverkare

Fungizone Colombia, Danmark, Finland, Förenta Staterna, Frankrike, Grekland, Indien, Iran, Irland, Italien, Kanada, Malaysia, Marocko, Nederländerna, nya Zeeland, Portugal, Schweiz, Storbritannien, Sverige, Tunisien, Turkiet, Tyskland, Ungern, Venezuela
Stabilitet i blandningar   injektion   Stabilitet i blandningar : Amphotericin B     
Ingen uppgift

  Mentions Légales