Ostatnia aktualizacja :
27/01/2026
Lek przeciwgrzybiczny   Amphotericin B  
Injekcje
Aerozol Krople oczne Roztwór do płukania gardła Roztwór doustny
Trwałość roztworów Trwałość w mieszaninie Czynnik wpływający na trwałość Zgodność Sposób podania Bibliografia pdf
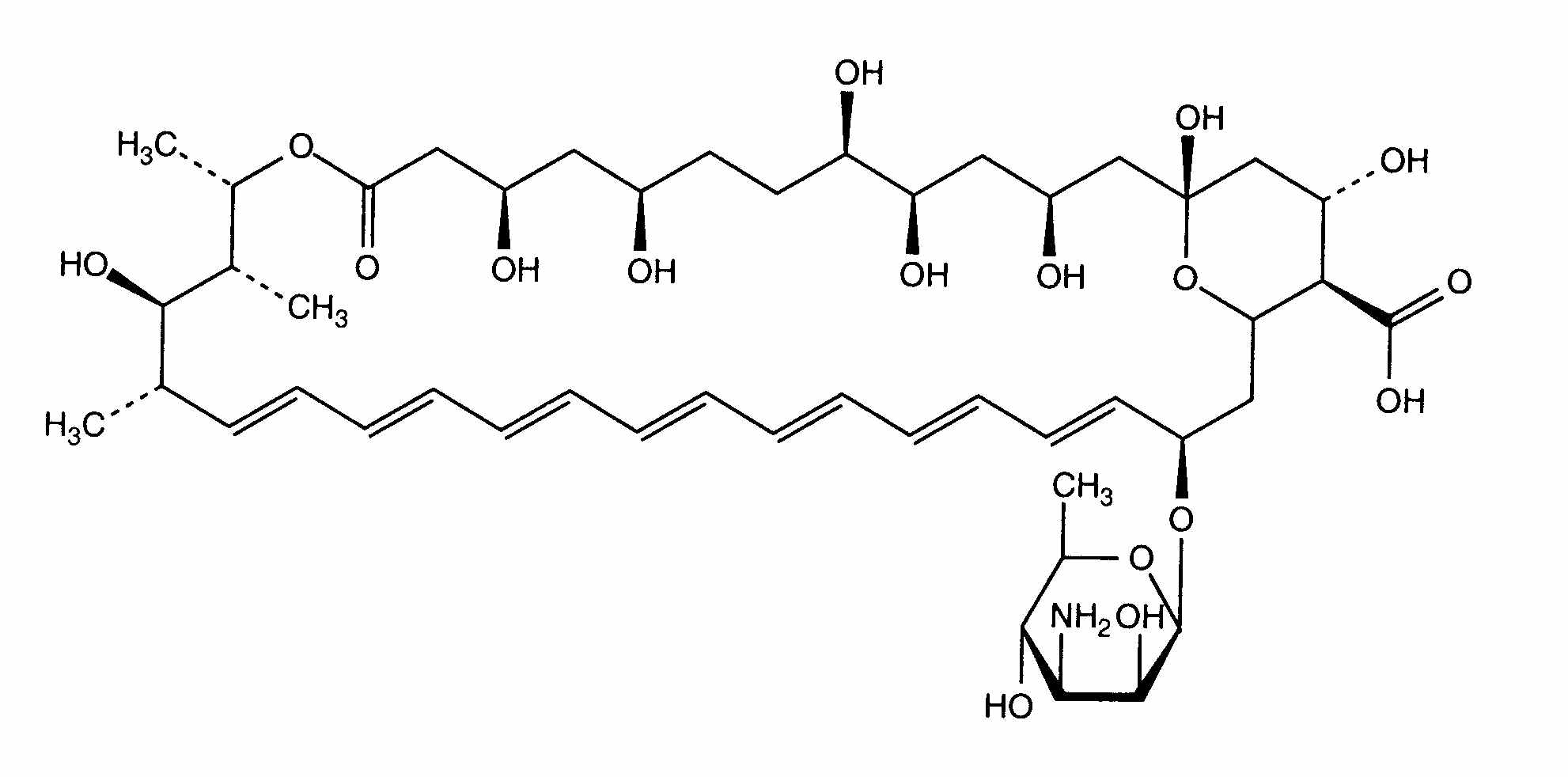
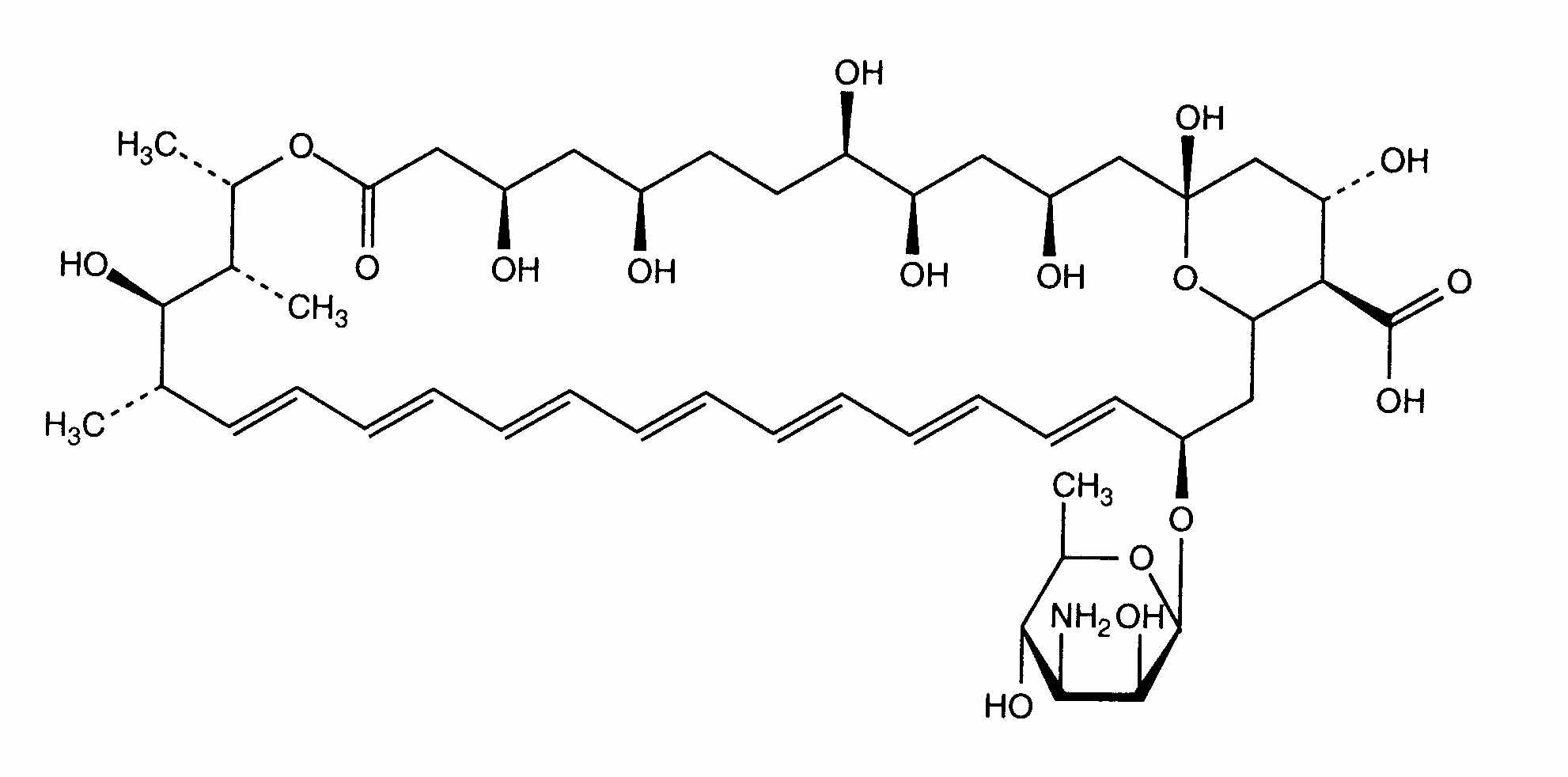
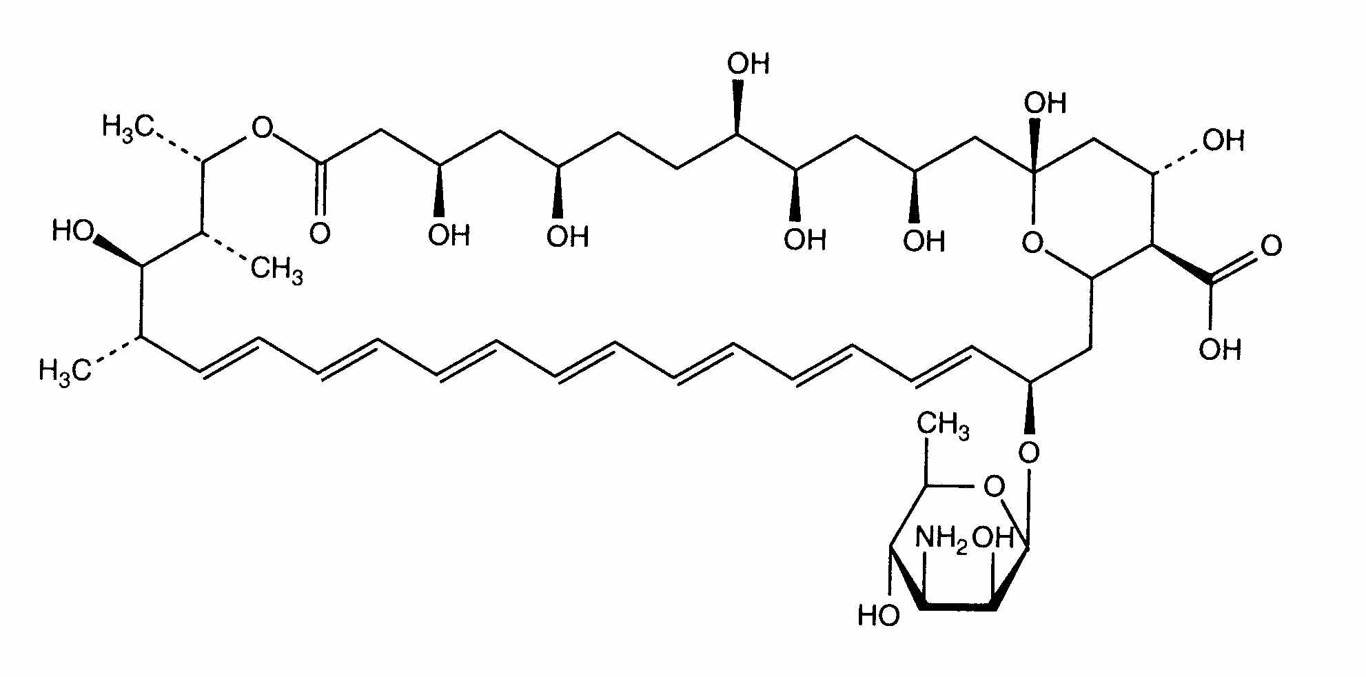
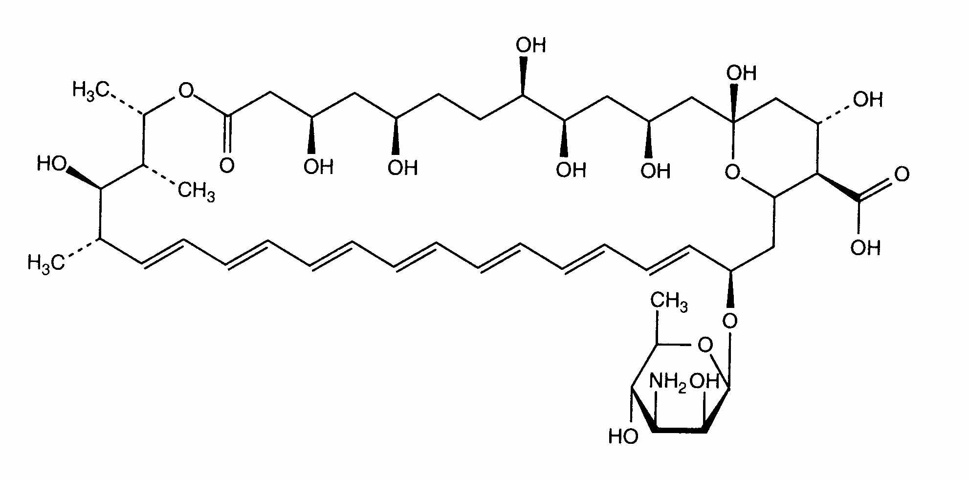
   Struktura chemiczna  

Nazwa handlowa   Nazwa handlowa     

Trade names are indicative and excipients composition can be different depending on the country and manufacturers

Fungizone Dania, Finlandia, Francja , Grecja, Holandia, Indie, Iran, Irlandia, Kanada, KolumbiaKolumbia, Malezja, Maroko, Niemcy, nowa Zelandia, Portugalia, Stany Zjednoczone Ameryki, Szwajcaria, Szwecja, Tunisie, Turcja, Węgry, Wenezuela, Wielka Brytania, Włochy
Trwałość w mieszaninie   Injekcje   Trwałość w mieszaninie : Amphotericin B     
Brak danych

  Mentions Légales