Последнее обновление :
27/01/2026
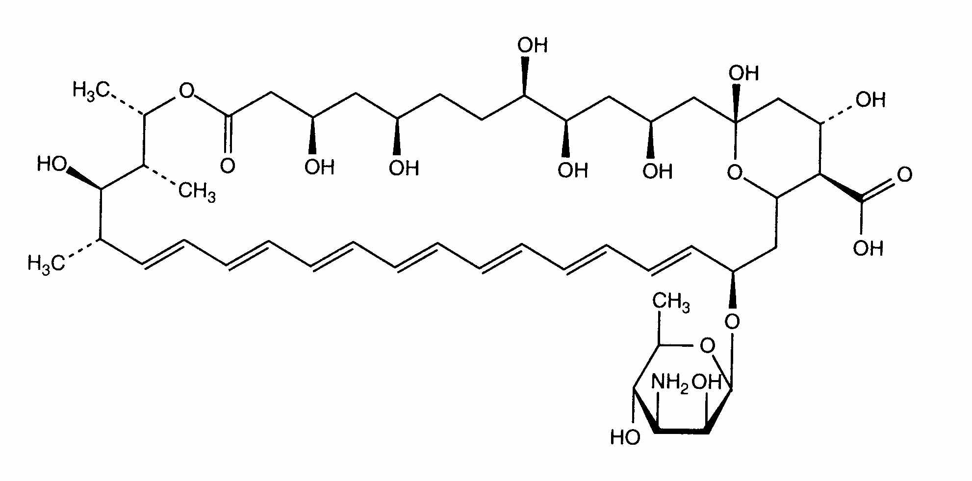
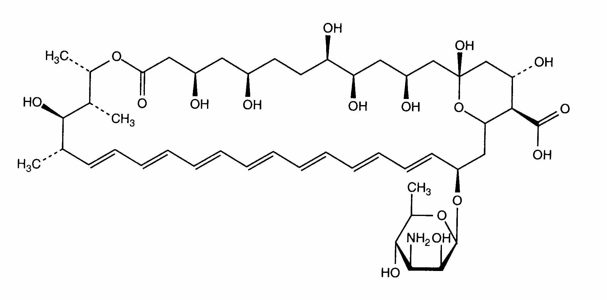
Противогрибковое средство   Amphotericin B  
Инъекция
Аэрозоль Глазные капли Ополаскиватель для полости рта Раствор для перорального приёма
Стабильность растворов Стабильность смесей Факторы, которые влияют на стабильность Совместимость Способы введения Библиография pdf
   Химическая структура  

Товарное название   Товарное название     

Trade names are indicative and excipients composition can be different depending on the country and manufacturers

Fungizone Великобритания, Венгрия, Венесуэла, Германия, Голландия, Греция, Дания, Индия, Иран, Ирландия, Италия, Канада, Колумбия, Малайзия, Марокко, новая Зеландия, Португалия, Соединённые Штаты Америки, Тунис, Турция, Финляндия, Франция, Швейцария, Швеция
Стабильность смесей   Инъекция   Стабильность смесей : Amphotericin B     
данных нет

  Mentions Légales