Posledná aktualizácia :
27/01/2026
antimykotikum   Amphotericin B  
Injekcia
Aerosól Kloktadlo Očná instilácia Perorálny roztok
Stabilita roztokov Stabilita v zmesiach Faktory ovplyvňujúce stabilitu Kompatibility spôsob podania Odkazy na literatúru PDF
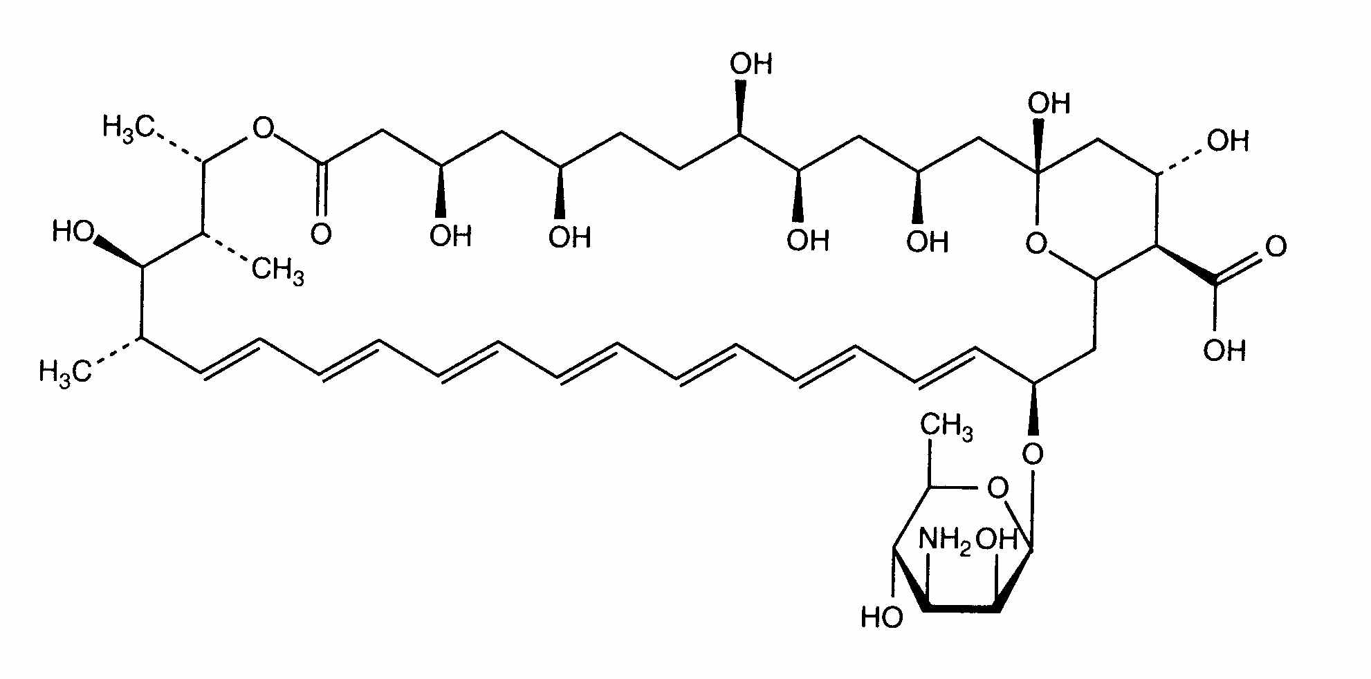
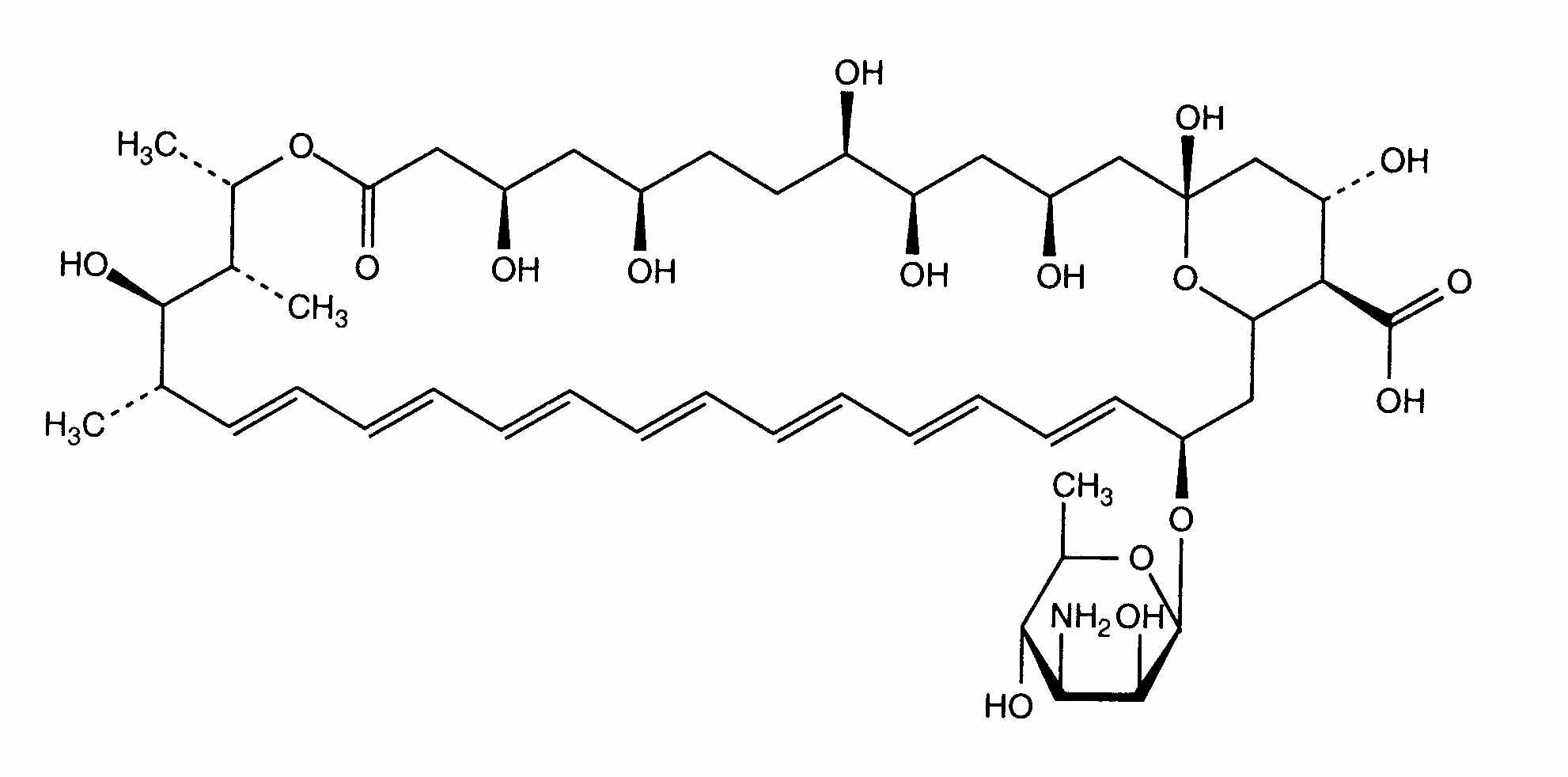
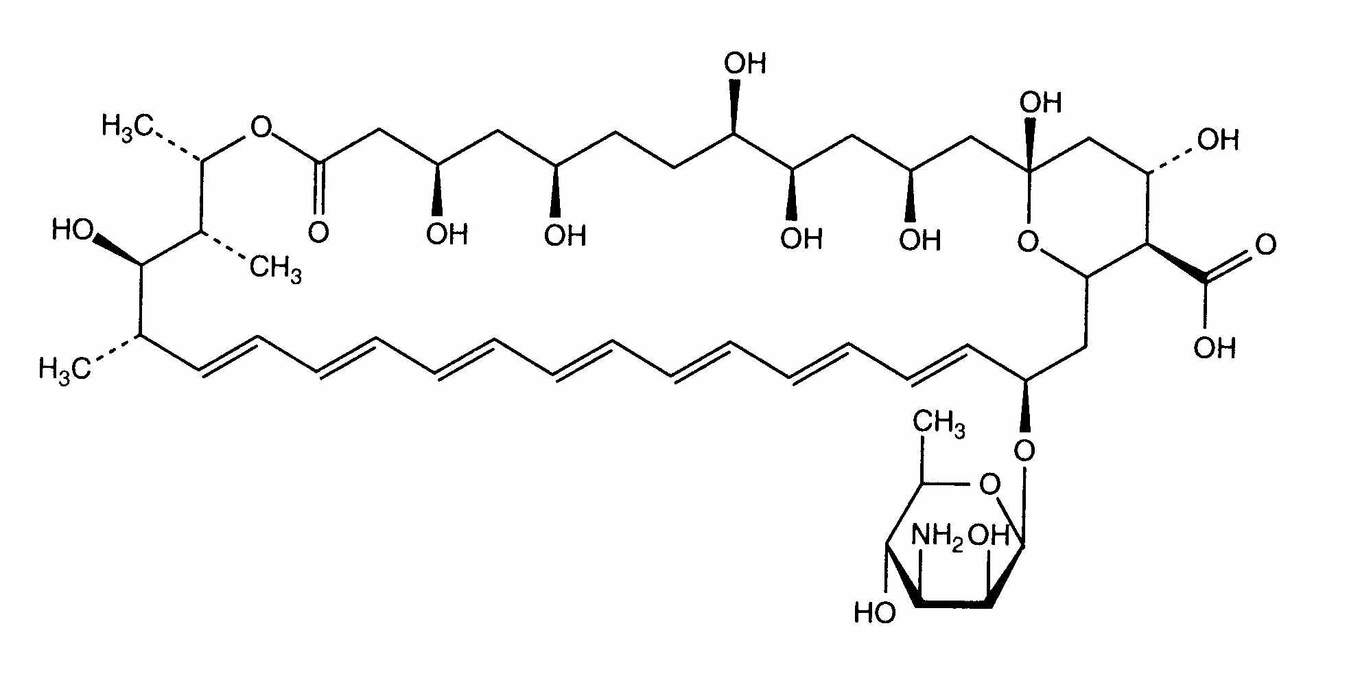
   Chemický vzorec  

Obchodný názov   Obchodný názov     

Obchodné názvy sú orientačné, a zloženie pomocných látok sa môže líšiť v závislosti od krajiny a výrobcu.

Fungizone Dánsko, Fínsko, Francúzsko, Grécko, Holandsko, India, Irán, Írsko, Kanada, Kolumbia, Maďarsko, Malajzia, Maroko, Nemecko, nový Zéland, Portugalsko, Spojené štáty Americké, Švajčiarsko, Švédsko, Taliansko, Tunisko, Turecko, Veľká Británia, Venezuela
Stabilita v zmesiach   Injekcia   Stabilita v zmesiach : Amphotericin B     
žiadne údaje

  Mentions Légales