Poslední aktualizace :
27/01/2026
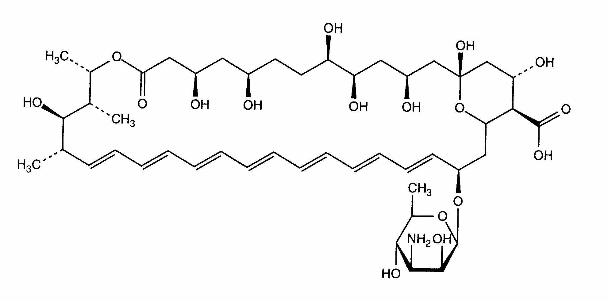
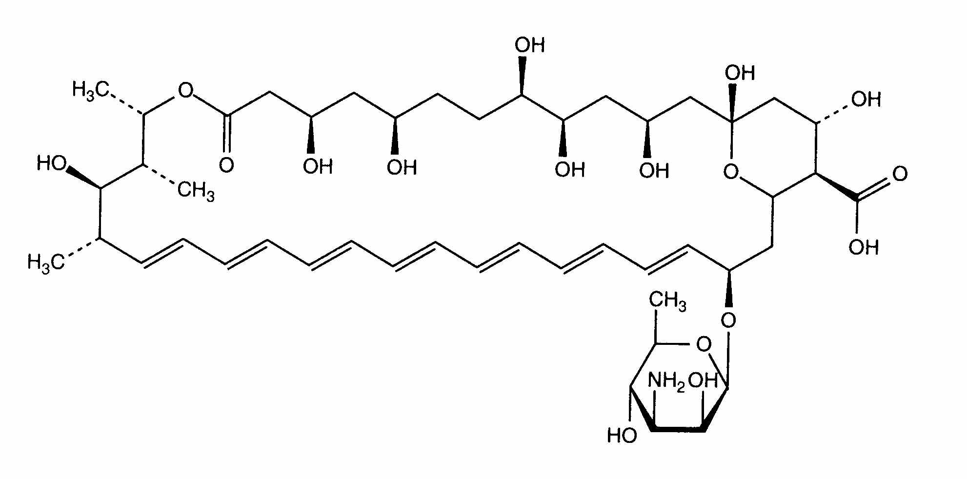
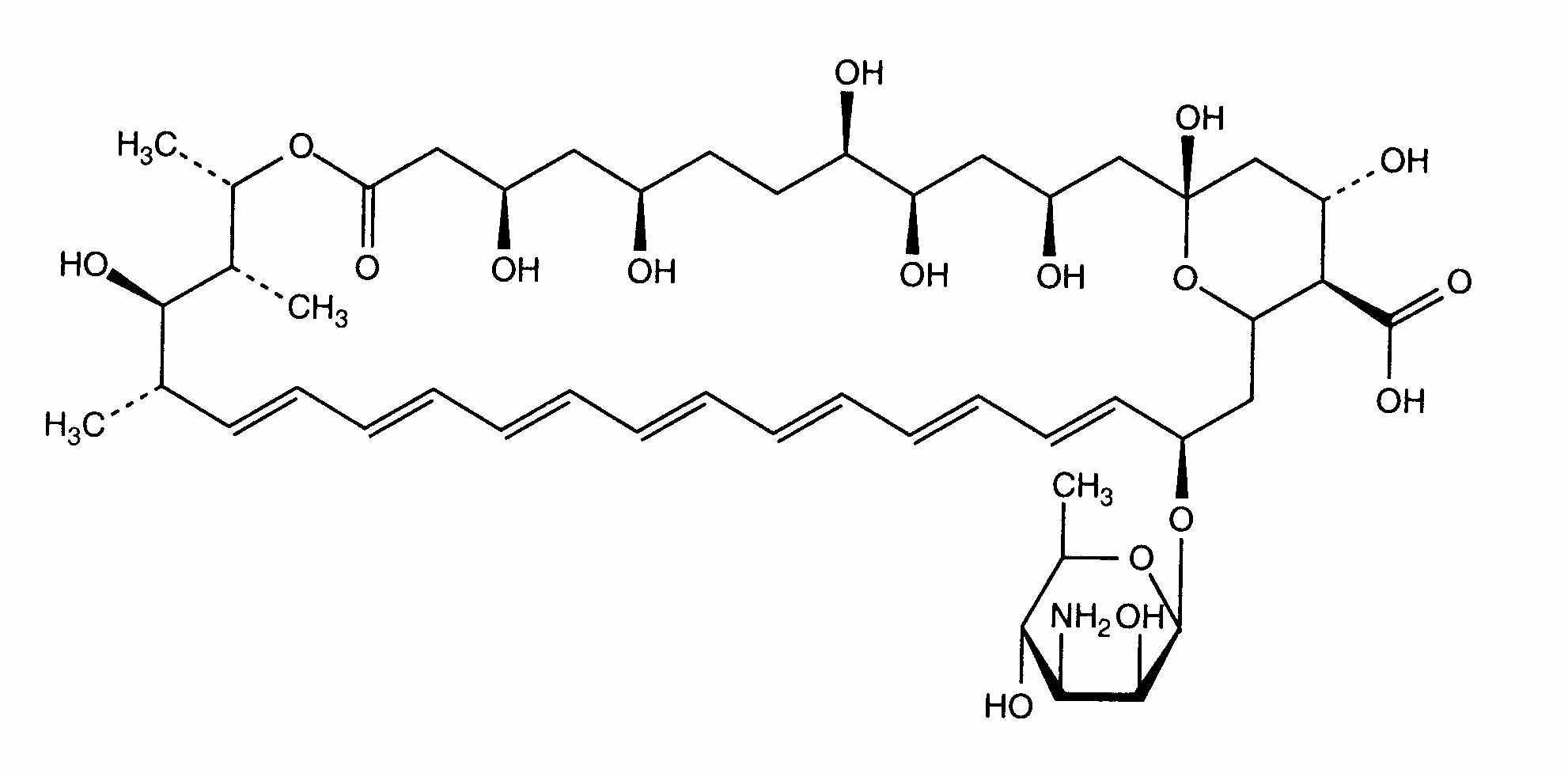
Protiplísňový přípravek   Amphotericin B  
injekce
Aerosol Humbuk kloktadlo Perorální roztok
Stabilita roztoků Stabilita směsí Faktory ovlivňující stabilitu Kompatibilita Způsoby aplikace Odkazy pdf
   Chemický vzorec  

Obchodní název   Obchodní název     

Trade names are indicative and excipients composition can be different depending on the country and manufacturers

Fungizone Dánsko, Finsko, Francie, Indie, Írán, Irsko, Itálie, Kanada, Kolumbie, Malajsie, MaÔarsko, Maroko, NÏmecko, Nizozemsko, nový Zéland, Portugalsko, Švédsko, Švýcarsko, Tunisko, Turecko, USA, Velká Británie, Venezuela, ÿecko
Stabilita směsí   injekce   Stabilita směsí : Amphotericin B     
žádná data

  Mentions Légales