Última actualización :
27/01/2026
Antifúngico   Amphotericin B  
Inyectables
Aerosol Enjuagues bucales Gotas oculares Solución Oral
Estabilidad en solucion Estabilidad en mezcla Factores que influyen sobre la estabilidad Compatibilidades método de inyección Bibliografía pdf
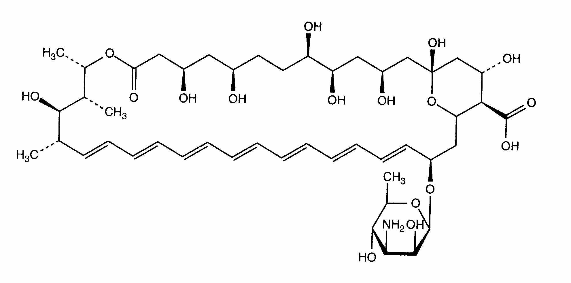
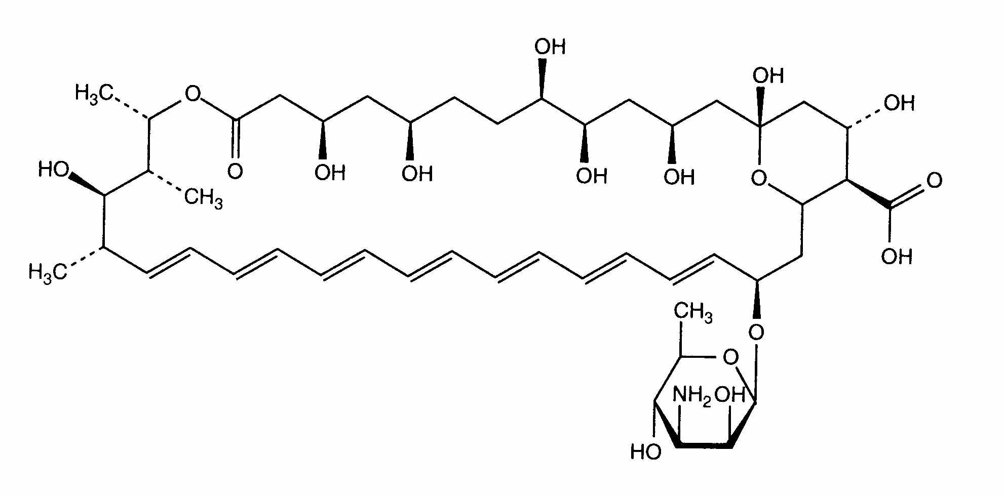
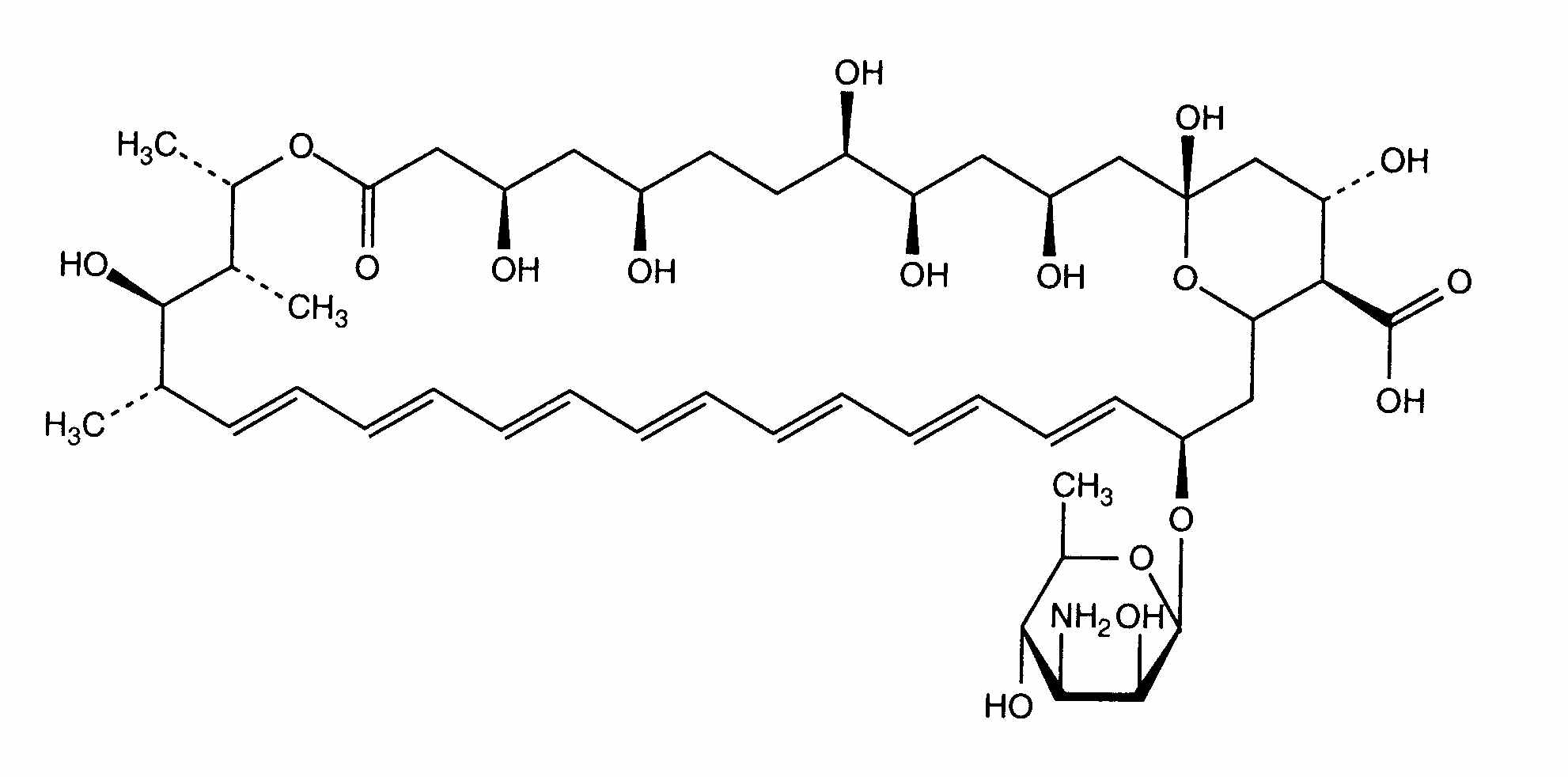
   Estructura química  

Nombre comercial   Nombre comercial     

Los nombres comerciales son orientativos y los excipientes de la formulación pueden ser distintos dependiendo del país y del laboratorio fabricante.

Fungizone Alemania, Canadá, Colombia, Dinamarca, Estados Unidos de América, Finlandia, Francia, Gran Bretaña, Grecia, Hungría, India, Irán, Irlanda, Italia, Malasia, Marruecos, Nueva Zelanda, Países Bajos, Portugal, Suecia, Suiza, Túnez, Turquía, Venezuela
Estabilidad en mezcla   Inyectables   Estabilidad en mezcla : Amphotericin B     
Ausencia de datos

  Mentions Légales